Kunds rör
Ett 1,50 m långt slutet glasrör, ett s.k. Kunds rör, har en högtalare i ena änden. Röret är fyllt med en gas och dessutom finns små korksmulor som visar noder och bukar i de stående longitudinella ljudvågor som uppstår i röret. Då ljudet från högtalaren hade frekvensen 870 Hz uppstod en stående våg med totalt 7 st. noder, inklusive de i rörets ändpunkter. Bestäm ljudets hastighet i gasen.
Jag förstår inte hur man ska göra kan någon hjälpa mig?
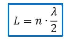
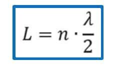
Jag vet att man ska använda följande formel

tänker att n=7 och att lambda kan lösas ut och man (3,5 får man genom att dela 7 noder med 2 för att veta hur många våglängder 7 noder är) 3,5 * =1,50 -> 0,43m vi har alltså att våglängden är 0,43 m och kan enkelt räkna ut hastigheten med hjälp av följande formel -> v=f*λ
tänker jag rätt? har jag förstått uppgiften rätt?
Hastigheten för en våg kan uttryckas i termer av dess period och våglängd . Om du dividerar våglängden med perioden får du hastigheten:
Relationen mellan frekvens och period är . Om den stående vågen har sju noder, hur många våglängder existerar då i röret?
Tips: Om den hade haft tre noder hade du bara haft en våglängd.
Om vi har 7 noder så har vi då 3 våglängder

det jag mest funderar över är om denna formel
gäller för denna uppgift och att med n menas hur många noder man har. Det är det jag sitter och funderar över och försöker hitta svar. Är n i denna formel antal noder?

Enligt denna tabell så ska λ bli 0,5 om man sätter in de kända värden i den ursprungliga frågan. Nu hänger jag inte med.
rashes skrev:Om vi har 7 noder så har vi då 3 våglängder
Det är rätt. Vad blir hastigheten?
gäller för denna uppgift och att med n menas hur många noder man har. Det är det jag sitter och funderar över och försöker hitta svar. Är n i denna formel antal noder?
Nej, är antal antinoder eller bukar. Du kan se i den andra bilden du la upp att antal noder är :

Nu förstår jag tack för hjälpen.