2 svar
112 visningar
livvwang.07 behöver inte mer hjälp
livvwang.07 13
Postad: 16 nov 2024 16:58

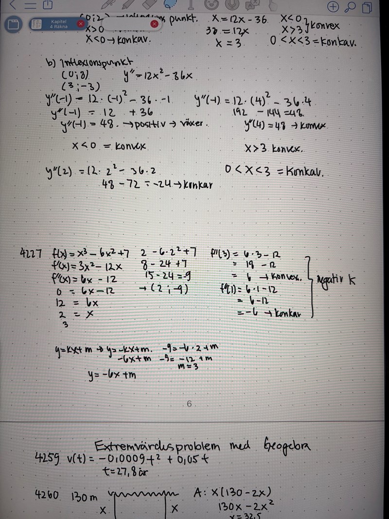
Kurvan till f(x)=x^3-6x^2+7 har en inflextionspunkt

Hej! Jag har fått fel på uppgift 4227 och förstår inte hur de kom fram till svaret.

Min uträkning: 

Jag har fått fram inflexionspunkten, tecknet framför k och vet hur jag ska få fram m-värdet senare. Men förstår inte hur man räknar fram k, använder man andra derivatan i så fall hur då?

Tack i förhand!

Laguna 32138
Postad: 16 nov 2024 17:45

Tangents lutning ges av förstaderivatan.

livvwang.07 13
Postad: 18 nov 2024 19:46

Tack, nu löste jag den. 

Svara
Close