1
svar
117
visningar
Louiger behöver inte mer hjälp
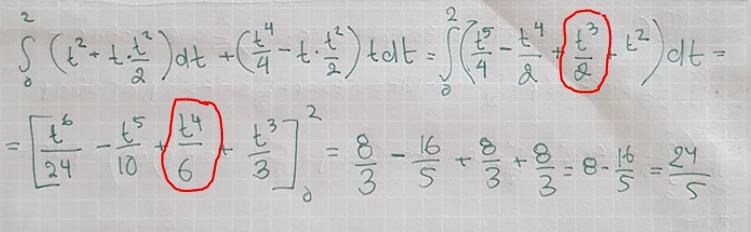
Kurvintegral
Jag har fått rätt svar på a) och c), men inte b) och jag kan inte se vad jag gjort för fel. Är det någon som ser? Har jag tänkt fel eller är det dyslexin som ställt till det?

Du snålade på blyet och hamnade i felfällan :-)