1
svar
99
visningar
BabySoda behöver inte mer hjälp
kurvintegral
uppgift
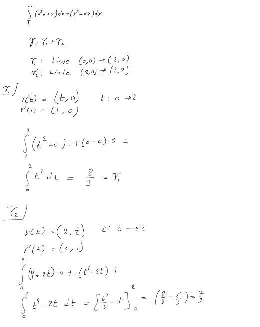
(integralen finns i bilden nedan)
mitt försök: (få svaret till 10/3, den ska vara 4/3)

På sista raden står det att primitiva funktionen till 2t är t. Det ska vara t2.