4
svar
123
visningar
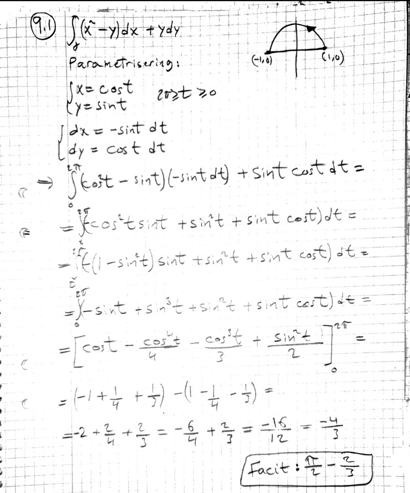
är inte en primitiv till , det tillkommer ju en inre derivata om du skulle derivera. Samma sak med den primitiva till .
Sen är den övre integrationsgränsen , inte .
Du skall integrera från 0 till .
Men jag rekommenderar att du försöker lösa uppgiften med hjälp av Greens formel.
PATENTERAMERA skrev:Du skall integrera från 0 till .
Men jag rekommenderar att du försöker lösa uppgiften med hjälp av Greens formel.
Blir det lättare med Greens formel menar du? Jag har inte gått igenom teorin än, då dessa uppgifter tillhör en annan föreläsning men det går att lösa mha green formel.
Testa att lösa uppgiften med Greens formel, när ni gått igenom den.

