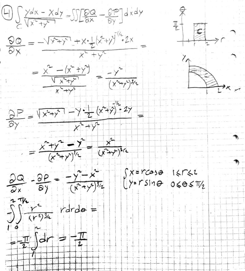
Matematik / Universitet 0 svar 61 visningar Soderstrom 2768 Postad: 17 okt 2021 17:21 Redigerad: 17 okt 2021 17:21 Kurvintegral Har jag gjort rätt? Användare skriver Svara Du behöver Logga in eller Bli medlem först! Avbryt