4 svar
93 visningar
Maja9999 545
Postad: 3 mar 2024 13:30 Redigerad: 3 mar 2024 13:30

Kurvintegral

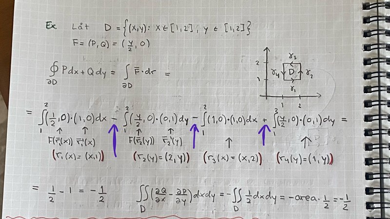
  1. Det här är ett lärarexempel som jag skrivit av från en föreläsning. Uppgiften är att beräkna kurvintegralen över området D där vektorfältet F=(y/2, 0). Det jag undrar över är pilarna som jag ritat ut i bilden, hur vet man vilka tecken som ska vara där? Alltså om man ska subtrahera en integral eller addera? Man har delat upp randen i fyra delar och jag tänker att alla är positivt orienterade? Då alla har områden D till vänster. Men ändå som är två av delintegralerna negativa?
PATENTERAMERA Online 7324
Postad: 3 mar 2024 13:46 Redigerad: 3 mar 2024 13:47

Notera att på tex gamma-fyra så skall man integrera från y = 2 till y = 1. Så integralen skall vara 21y2,00,1dy=-12y2,00,1dy. Samma sak händer på gamma-tre.

Maja9999 545
Postad: 3 mar 2024 13:49
PATENTERAMERA skrev:

Notera att på tex gamma-fyra så skall man integrera från y = 2 till y = 1. Så integralen skall vara 21y2,00,1dy=-12y2,00,1dy. Samma sak händer på gamma-tre.

Aha okej. Så egentligen borde gamma2 och gamma4 byta tecken i ekvationen ovan? Men eftersom dom är samma så har svaret blivit rätt ändå?

PATENTERAMERA Online 7324
Postad: 3 mar 2024 13:52

Nja, nu förstår jag inte riktigt vad du säger. Kan du förklara tydligare vad du menar?

Maja9999 545
Postad: 3 mar 2024 14:12 Redigerad: 3 mar 2024 14:12
PATENTERAMERA skrev:

Nja, nu förstår jag inte riktigt vad du säger. Kan du förklara tydligare vad du menar?

Alltså att det ska vara gamma3 och gamma4 man behöver byta tecken på eftersom de går från 2-1. Men att i uppgiften har jag skrivit att gamma2 blev negativ, men det ska den väl inte vara eftersom den redan går den mindre-större (1-2).

men eftersom gamma2 och gamma4 är likadana integraler har svaret ändå blivit rätt

Svara
Close