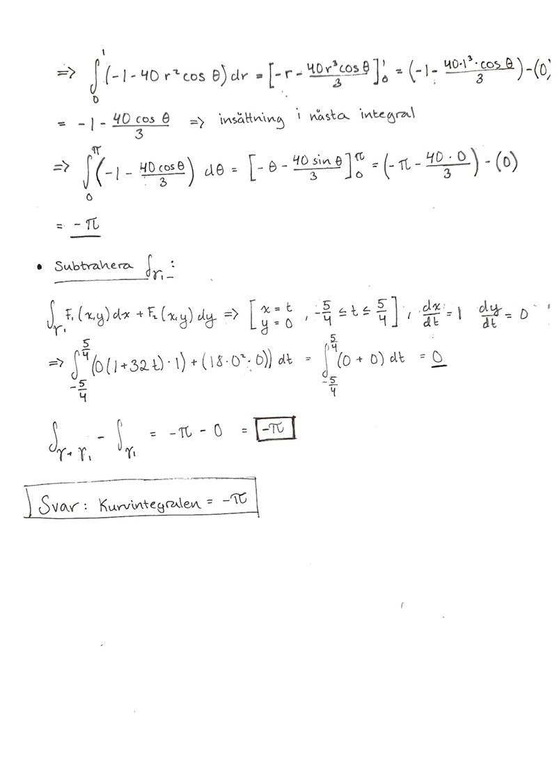
Kurvintegral längs halv ellips
Uppgiften lyder:
"Beräkna kurvintegralen
där är kurvan längs ellipsen genomlöpt moturs från punkten till punkten "
Jag får fel svar och vet inte varför. Mitt svar är men det rätta svaret är
Min metod är att använda Greens formel, där jag då sluter halvelipsen som bildar med en till kurva som går tillbaka längs x-axeln. Jag drar sedan bort . Använder jag fel metod för denna typen av beräkning? Vilken ska jag i så fall använda istället?
Mina egna misstankar om vart det går snett är antingen parametriseringen av ellipsen som jag är väldigt osäker på, eller beräkningen av då den blir 0 vilket spontant känns fel. Dock kan jag inte komma på en annan lösning.
Nedan följer mina beräkningar (2 sidor)

=-(halva arean av ellipsskivan)=.
Tillägg: 6 mar 2024 00:53
Du har fel jacobideterminant.
.
Integralen blir
.