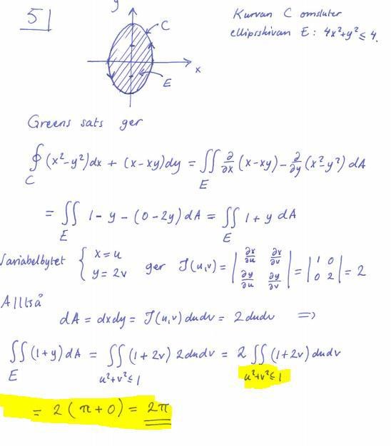
Kurvintegral med greens sats med ellips
Hej,
Min första mattefråga på detta forum och lär nog inte bli den sista.
Är det någon som är villig att hjälpa mig förstå sista steget i lösningen?
Är inte riktigt med på tankegången som lösningen visar i slutet.
Min tankegång är att man ska införa polära koordinater, alternativt cirkelns area, men får inte fram rätt svar. Antingen slarvar jag ordentligt eller så har jag inte förstått den matematiska processen.
Vad är det som sägs när man skriver på det där sättet?

Välkommen hit! Att byta till polära koordinater låter utmärkt! Sätt . Då blir integralen (r-faktorn är skalfaktorn). Integrera med avseende på t:
:D
Man tackar för din ypperliga pedagogiska förklaring. Mycket tacksam. Det var det där extra r:et som försvann i mina tankar.
Med tacksamhet och hälsning
Skäggfluff
Skalfaktorn är lätt att tappa bort. Jag gjorde samma fel själv när jag skrev min uträkning, och var väldigt fundersam över hur facit fick 2pi först.
Det var så lite så, varmt välkommen hit! :)