2
svar
129
visningar
sannakarlsson1337 behöver inte mer hjälp
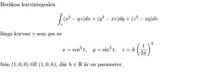
Kurvintegral / potentialfält

Facit

hur har dom fått ut det där? jag menar
Borde inte svaret vara
?
- Om det inte hade varit virvelfritt (dvs rot inte lika med noll) hur hade man gjort då? Paramatiserat? jag har svårt att illustrera det här (rita upp det) eftersom vi har en obekant variabel och .
Integrera t.ex din x-komponent m.a.p x:
För att hitta C1(y,z) så derivera m.a.p y:
Derivatan av C1 m.a.p y ska då bli y^2, så du kan klarlägga C1:s y-beroende. Gör sedan likadant med z.
Om fältet inte är konservativt så får du beräkna linjeintegralen direkt, antagligen via parametrisering.
Dr. G skrev:Integrera t.ex din x-komponent m.a.p x:
För att hitta C1(y,z) så derivera m.a.p y:
Derivatan av C1 m.a.p y ska då bli y^2, så du kan klarlägga C1:s y-beroende. Gör sedan likadant med z.
Om fältet inte är konservativt så får du beräkna linjeintegralen direkt, antagligen via parametrisering.
Tack!