17 svar
720 visningar
mrlill_ludde behöver inte mer hjälp
mrlill_ludde 1047 – Fd. Medlem
Postad: 2 maj 2019 14:44

Kurvintegralen

Jag ritade upp den såhär, och tänkte att jag kunde dra ett streck emellan dessa punkter och således tillämpa green :

 

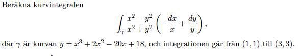
Och så tar jag funktionen, mulitplicerar ihop parenteserna få: 

 

Men.. sen när jag kollar facit, så får jag heeeelt fel. Whyyy.

Peter 1227
Postad: 2 maj 2019 22:32

Jag har väldigt vaga minnen av Green's formel så jag vågar mig inte på att kommentera hur du har tillämpat den. Efter att ha googlat lite så handlar det om att man gör om en kurvintegral till en dubbelintegral men då verkar det som att man ska ha ett slutet område. Det har du skaffat dig genom att dra linjen men då har du samtidigt förlängt kurvan som det frågas efter. Det måste du korrigera för, och då kommer det tillbaka lite svaga minnen. Lös dubbelintegralen och beräkna sen kurvintegralen längs den räta linjen och subtrahera det från dubbelintegralen. Är det det som du har missat?

AlvinB 4015
Postad: 3 maj 2019 08:07

Dina partiella derivator har blivit fel. Jag får det till:

Qx=4xy(x2+y2)2\dfrac{\partial Q}{\partial x}=\dfrac{4xy}{(x^2+y^2)^2}

(Beräkning)

Py=4xy(x2+y2)2\dfrac{\partial P}{\partial y}=\dfrac{4xy}{(x^2+y^2)^2}

(Beräkning)

Innan du tillämpar Greens formel måste du dock ta reda på om det finns några diskontinuiteter på området. Finns det?

mrlill_ludde 1047 – Fd. Medlem
Postad: 3 maj 2019 09:58
AlvinB skrev:

Dina partiella derivator har blivit fel. Jag får det till:

Qx=4xy(x2+y2)2\dfrac{\partial Q}{\partial x}=\dfrac{4xy}{(x^2+y^2)^2}

(Beräkning)

Py=4xy(x2+y2)2\dfrac{\partial P}{\partial y}=\dfrac{4xy}{(x^2+y^2)^2}

(Beräkning)

Innan du tillämpar Greens formel måste du dock ta reda på om det finns några diskontinuiteter på området. Finns det?

det är ju punkten (0,0) men vi befinner ju oss bara emellan (1,1) och (3,3) så jag bör ju kunna tillämpa Green då?

AlvinB 4015
Postad: 3 maj 2019 22:05 Redigerad: 3 maj 2019 22:05

Vad händer i exempelvis punkten (0,2)(0,2)? Kan du beräkna fältets värde där?

Albiki 5096 – Fd. Medlem
Postad: 3 maj 2019 23:58

Kurvintegralen är

    γP(x,y)dx+Q(x,y)dy\displaystyle\oint_{\gamma} P(x,y)\,dx+Q(x,y)\,dy

där P(x,y)=y2-x2x(y2+x2)P(x,y)=\frac{y^2-x^2}{x(y^2+x^2)} och Q(x,y)=x2-y2y(x2+y2)Q(x,y)=\frac{x^2-y^2}{y(x^2+y^2)} förutsatt att (x,y)(x,y) håller sig borta från koordinataxlarna (där x=0x=0 eller där y=0y=0). Nu är det tyvärr så att kurvan γ\gamma innehåller två punkter som ligger på x-axeln och dessa måste uteslutas på lämpligt sätt om man ska beräkna kurvintegralen med hjälp av Greens teorem så som du tänkt dig. 

mrlill_ludde 1047 – Fd. Medlem
Postad: 6 maj 2019 12:32
AlvinB skrev:

Dina partiella derivator har blivit fel. Jag får det till:

Qx=4xy(x2+y2)2\dfrac{\partial Q}{\partial x}=\dfrac{4xy}{(x^2+y^2)^2}

(Beräkning)

Py=4xy(x2+y2)2\dfrac{\partial P}{\partial y}=\dfrac{4xy}{(x^2+y^2)^2}

(Beräkning)

Innan du tillämpar Greens formel måste du dock ta reda på om det finns några diskontinuiteter på området. Finns det?

Som i den förra tråden, hur gjorde du med parenteserna där? i frågan, multiplicerar du inte dom som 


(a+b)(c+d) = ac+ad+bc+bd ?

AlvinB 4015
Postad: 6 maj 2019 21:04

Jag multiplicerar ut differentialerna enligt följande:

x2-y2x2+y2(-dxx+dyy)=-x2-y2x(x2+y2) dx+x2-y2y(x2+y2) dy\dfrac{x^2-y^2}{x^2+y^2}(-\dfrac{dx}{x}+\dfrac{dy}{y})=-\dfrac{x^2-y^2}{x(x^2+y^2)}\ dx+\dfrac{x^2-y^2}{y(x^2+y^2)}\ dy

Vi får alltså att:

Px,y=-x2-y2x(x2+y2)P\left(x,y\right)=-\dfrac{x^2-y^2}{x(x^2+y^2)}

och

Qx,y=x2-y2y(x2+y2)Q\left(x,y\right)=\dfrac{x^2-y^2}{y(x^2+y^2)}

mrlill_ludde 1047 – Fd. Medlem
Postad: 6 maj 2019 21:19 Redigerad: 6 maj 2019 21:19
AlvinB skrev:

Jag multiplicerar ut differentialerna enligt följande:

x2-y2x2+y2(-dxx+dyy)=-x2-y2x(x2+y2) dx+x2-y2y(x2+y2) dy\dfrac{x^2-y^2}{x^2+y^2}(-\dfrac{dx}{x}+\dfrac{dy}{y})=-\dfrac{x^2-y^2}{x(x^2+y^2)}\ dx+\dfrac{x^2-y^2}{y(x^2+y^2)}\ dy

Vi får alltså att:

Px,y=-x2-y2x(x2+y2)P\left(x,y\right)=-\dfrac{x^2-y^2}{x(x^2+y^2)}

och

Qx,y=x2-y2y(x2+y2)Q\left(x,y\right)=\dfrac{x^2-y^2}{y(x^2+y^2)}

Aha okej, då är jag med. Och såldes blir deras derivator lika. 

Sen så integrerar jag differential ekvationerna;  (som är från ursprungsekvationen):

dUdx=-1xx2-y2x2+y2\frac{dU}{dx} = \frac{-1}{x} \frac{x^2-y^2}{x^2+y^2}

dUdx=1yx2-y2x2+y2\frac{dU}{dx} = \frac{1}{y} \frac{x^2-y^2}{x^2+y^2}

Och så integrerar vi dom???? 

dUdx=-1xx2-y2x2+y2dx\int\frac{dU}{dx} = \int \frac{-1}{x} \frac{x^2-y^2}{x^2+y^2} dx eller? 

AlvinB 4015
Postad: 6 maj 2019 22:01

Ja, om vi vill beräkna kurvintegralen som en potentialskillnad behöver vi ta fram en potentialfunktion U(x,y)U(x,y).

Vi kan få ett uttryck för U(x,y)U(x,y) genom att integrera derivatan med avseende på xx:

Ux,y=Ux dx=-x2-y2x(x2+y2) dx\displaystyle U\left(x,y\right)=\int\frac{\partial U}{\partial x}\ dx=\int -\frac{x^2-y^2}{x(x^2+y^2)}\ dx

(integreras förslagsvis genom partialbråksuppdelning)

vi får då ett uttryck för U(x,y)U(x,y) som innehåller en okänd funktion φ(y)\varphi(y) enbart beroende av yy. Man kan sedan derivera uttrycket för U(x,y)U(x,y) med avseende på yy och jämföra med yy-komponenten i fältet och således ta reda på vad φ'(y)\varphi'(y) och även φ(y)\varphi(y).

När vi väl tagit fram U(x,y)U(x,y) kan integralen beräknas genom:

γF·dr=Ub-Ua\displaystyle\int_\gamma\mathbf{F}\cdot d\mathbf{r}=U\left(\mathbf{b}\right)-U\left(\mathbf{a}\right)

där a\mathbf{a} och b\mathbf{b} är kurvans ändpunkter.

parveln 703 – Fd. Medlem
Postad: 6 maj 2019 22:15

Är inte ett av kraven i definitionen av kurvintegralen att vektorfältet är kontinuerligt i en mängd som omsluter de kurvor man är intresserad av? I detta fall åker ju partikeln rakt genom diskontinuiteter. Kan man verkligen ignorera dessa och hitta en potential som inte ens är definierad längs kurvan?

mrlill_ludde 1047 – Fd. Medlem
Postad: 7 maj 2019 09:03
parveln skrev:

Är inte ett av kraven i definitionen av kurvintegralen att vektorfältet är kontinuerligt i en mängd som omsluter de kurvor man är intresserad av? I detta fall åker ju partikeln rakt genom diskontinuiteter. Kan man verkligen ignorera dessa och hitta en potential som inte ens är definierad längs kurvan?

Vet inte? jag tänker väl mer eftersom att vi har punkterna (1,1) och (3,3) och därför kan man det? :S

mrlill_ludde 1047 – Fd. Medlem
Postad: 7 maj 2019 09:06
AlvinB skrev:

Ja, om vi vill beräkna kurvintegralen som en potentialskillnad behöver vi ta fram en potentialfunktion U(x,y)U(x,y).

Vi kan få ett uttryck för U(x,y)U(x,y) genom att integrera derivatan med avseende på xx:

Ux,y=Ux dx=-x2-y2x(x2+y2) dx\displaystyle U\left(x,y\right)=\int\frac{\partial U}{\partial x}\ dx=\int -\frac{x^2-y^2}{x(x^2+y^2)}\ dx

(integreras förslagsvis genom partialbråksuppdelning)

vi får då ett uttryck för U(x,y)U(x,y) som innehåller en okänd funktion φ(y)\varphi(y) enbart beroende av yy. Man kan sedan derivera uttrycket för U(x,y)U(x,y) med avseende på yy och jämföra med yy-komponenten i fältet och således ta reda på vad φ'(y)\varphi'(y) och även φ(y)\varphi(y).

När vi väl tagit fram U(x,y)U(x,y) kan integralen beräknas genom:

γF·dr=Ub-Ua\displaystyle\int_\gamma\mathbf{F}\cdot d\mathbf{r}=U\left(\mathbf{b}\right)-U\left(\mathbf{a}\right)

där a\mathbf{a} och b\mathbf{b} är kurvans ändpunkter.

Snyggt!

U(3,3)-U(1,1) alltså

AlvinB 4015
Postad: 7 maj 2019 09:19

Jag såg ditt facit till denna uppgift i den andra tråden och tänkte att den gick att lösa utan vidare, men som parveln påpekar (och nu ser jag att det nog var dit jag och Albiki var på väg tidigare i tråden) korsar ju kurvan koordinataxlarna, där fältet är diskontinuerligt! Vi har ju xx och yy som faktorer i nämnarna, och dessa gör att fältet blir odefinierat så fort vi är på koordinataxlarna (då är ju x=0x=0 eller y=0y=0).

Jag får intrycket att hela uppgiften är felkonstruerad och att man helt enkelt missat att fältet inte är kontinuerligt på koordinataxlarna, särskilt eftersom man inte nämner det i facit utan räknar på helt som vanligt.

Hade vi inte haft diskontinuiteter på kurvan hade vi kunnat beräkna kurvintegralen med U(3,3)-U(1,1)U(3,3)-U(1,1), men i och med dessa diskontinuiteter tror jag till och med att kurvintegralens värde divergerar.

mrlill_ludde 1047 – Fd. Medlem
Postad: 7 maj 2019 10:53
AlvinB skrev:

Jag såg ditt facit till denna uppgift i den andra tråden och tänkte att den gick att lösa utan vidare, men som parveln påpekar (och nu ser jag att det nog var dit jag och Albiki var på väg tidigare i tråden) korsar ju kurvan koordinataxlarna, där fältet är diskontinuerligt! Vi har ju xx och yy som faktorer i nämnarna, och dessa gör att fältet blir odefinierat så fort vi är på koordinataxlarna (då är ju x=0x=0 eller y=0y=0).

Jag får intrycket att hela uppgiften är felkonstruerad och att man helt enkelt missat att fältet inte är kontinuerligt på koordinataxlarna, särskilt eftersom man inte nämner det i facit utan räknar på helt som vanligt.

Hade vi inte haft diskontinuiteter på kurvan hade vi kunnat beräkna kurvintegralen med U(3,3)-U(1,1)U(3,3)-U(1,1), men i och med dessa diskontinuiteter tror jag till och med att kurvintegralens värde divergerar.

Aha okej, jag tänkte mer att det gick och lösa ändå, för vi kollade "bara" på intervallet (1,1) till (3,3) 

AlvinB 4015
Postad: 7 maj 2019 21:51

Det stora problemet är att punkter på kurvan är diskontinuiteter. Det är allmänt någonting vi inte vill ha.

Hade kurvan inte skurit koordinataxlarna skulle det inte vara några problem.

mrlill_ludde 1047 – Fd. Medlem
Postad: 8 maj 2019 04:55
AlvinB skrev:

Det stora problemet är att punkter på kurvan är diskontinuiteter. Det är allmänt någonting vi inte vill ha.

Hade kurvan inte skurit koordinataxlarna skulle det inte vara några problem.

Aha ok.. Men då är den här problemet helt hopplöst, så svaret är typ "nej går ej och lösa pga diskontiniteter" ?

AlvinB 4015
Postad: 8 maj 2019 08:31

Ja, det verkar ju inte bättre än så.

Jag tror helt enkelt att uppgiftskonstruktören missat något.

Svara
Close