1
svar
137
visningar
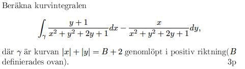
Kurvintegraler

om vi säger att då är detta en :

Dår ä ju denna
- sluten
- vi går inte igenom några singulariteter
- dP/dy = dQ/dx
vad betyder då detta? man kan ju inte använda Greens, utan vi måste paramatisera? eller hur? men med vilka parametrar då?
För jag har ju jobbat med uppgifter som tex inte är SLUTNA; då lägger man till en kurva/linje men nu när denna är sluten, blir jag osäker..
Fältet har en singulär punkt i (0,-1), som är innesluten av kurvan.
Du kan parametrisera de 4 linjerna var för sig, t.ex y = x - 2 (med x som parameter).
Borde man dock inte kunna lägga till en cirkulär kurva runt den singulära punkten och få ut att svaret blir typ 2π? (Jag gissar.)