3
svar
138
visningar
BabySoda behöver inte mer hjälp
kvadrat komp med två variabeler
hur kvadratkompleterar man en funktion med två variabeler, som t.ex
Om det finns blandade termer, som det gör här, så kan man ansätta .
Laguna skrev:Om det finns blandade termer, som det gör här, så kan man ansätta .
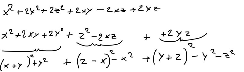
ah ok, har försökt kvadrat kompletera denna funktion men vet ej om den är rätt.

BabySoda skrev:Laguna skrev:Om det finns blandade termer, som det gör här, så kan man ansätta .
ah ok, har försökt kvadrat kompletera denna funktion men vet ej om den är rätt.
Det här verkar vara ett helt annat uttryck än det var i frågan. Gör en ny tråd för det nya uttrycket. /moderator