Kvadratkomplettera uttryck
Hej, jag skulle behöva hjälp att förstå hur jag kvadratkompletterar följande uttryck:
Jag har försökt att följa instruktionerna jag fått
Exempel från läroplattform:

Kvadratkomplettera uttrycket
Jag bryter ut 3:an:
Jag bryter ut faktor 2:
Jag förstår inte nästa steg fullt ut. Jag vet att kvadreringsreglen är:
Jag tänker då att i det här fallet är
Utifrån det blir nästa steg
Jag förstår inte varför jag behöver lägga till för att sedan ta bort igen? Jag har svårt att komma ihåg hur jag ska göra om jag inte ser logiken bakom.
Detta steg ger i alla fall
Jag lyckas inte få rätt slutet, mitt försök:
Mitt slutsvar:
Vart gör jag fel och hur ska jag göra istället?
Jag hade gjort följande:
Vi inser att vi får följande:
Vilket alltså ger oss:
och efter lite förenkling får vi:
.
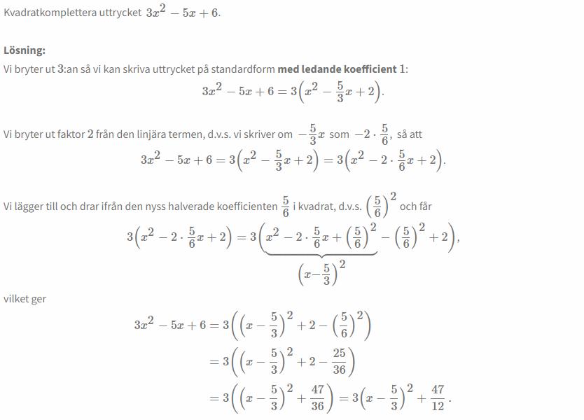
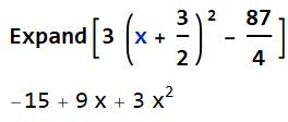
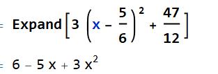
Vi expanderar och ser om vi har gjort rätt och får:
Vilket är vad vi började med, alltså stämmer vår kvadratkomplettering.
Du behöver alltså inte bryta ut en 2a och en massa annat.
Kan du då hitta felet i din kvadkomp eller behöver du lite mer vägledning?
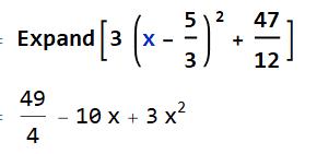
Notera att facit alltså är felaktig. Du ser detta direkt eftersom att de har använd som sin kvadrat, men det kan inte stämma då vi kommer att få ut vilket inte är vad vi började med.
Facits lösning ger följande om vi expanderar:
Och detta är klart inte korrekt.
Dracaena skrev:Jag hade gjort följande:
Vi inser att vi får följande:
Vilket alltså ger oss:
och efter lite förenkling får vi:.
Vi expanderar och ser om vi har gjort rätt och får:Vilket är vad vi började med, alltså stämmer vår kvadratkomplettering.
Du behöver alltså inte bryta ut en 2a och en massa annat.
Kan du då hitta felet i din kvadkomp eller behöver du lite mer vägledning?
Notera att facit alltså är felaktig. Du ser detta direkt eftersom att de har använd som sin kvadrat, men det kan inte stämma då vi kommer att få ut vilket inte är vad vi började med.
Facits lösning ger följande om vi expanderar:
Och detta är klart inte korrekt.
Jag har redigerat mitt inlägg för att tydliggöra lite, det är inte exemplet jag försökt kvadratkomplettera utan
Förstår du varje steg i min uträkning? Du kan applicera exakt samma taktik på vilket andragradare som helst, inget ändras mer än siffrorna.
Luminous, det är inte tillåtet att redigera det orignala inlägget efter att ens tråd har blivit besvarad. Nu är det svårt att se vad du ändrat och vad det stog innan. Gör istället ett nytt inlägg och posta dina nya ändringar. /Moderator.
Dracaena skrev:Förstår du varje steg i min uträkning? Du kan applicera exakt samma taktik på vilket andragradare som helst, inget ändras mer än siffrorna.
Luminous, det är inte tillåtet att redigera det orignala inlägget efter att ens tråd har blivit besvarad. Nu är det svårt att se vad du ändrat och vad det stog innan. Gör istället ett nytt inlägg och posta dina nya ändringar. /Moderator.
Missförstod reglerna, trodde det var okej att redigera om man förklarade vad man redigerat, jag lade till två horisontella streck för att skilja min fråga från exemplet.
Men nej, jag förstår inte allt i din uträkning. Jag är osäker på hur du får fram
Du blandar ihop uppgifterna.
Du har nästan gjort rätt, men du har brytit ut en faktor 2 från din konstant och sedan så tappar du bort den.
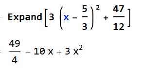
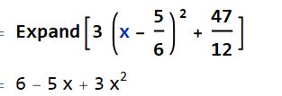
återigen, vi kontrollerar svaret:

Vilket är vad vi började med, alltså stämmer vår kvadratkomplettering.