1
svar
203
visningar
kvadratkomplettering
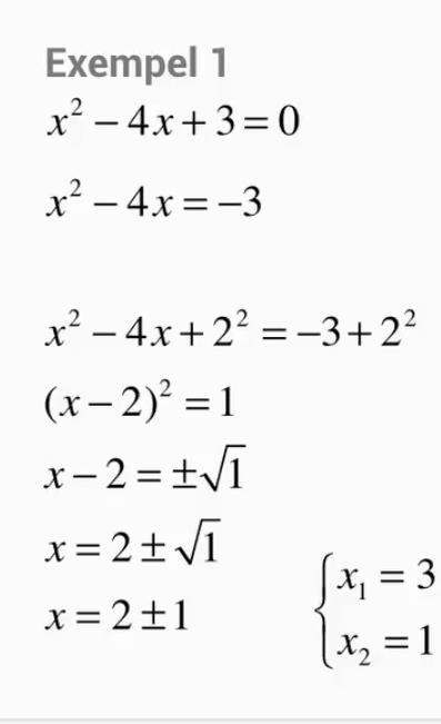
hur kan 2 och 2 vara samma sak?
Är inte = 1?
En gratistjänst från Mattecentrum
hur kan 2 och 2 vara samma sak?
Är inte = 1?