3
svar
120
visningar
MN_BD behöver inte mer hjälp
Kvadratkomplettering
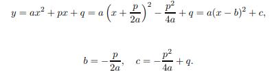
Jag håller på med en inlämningsuppgift som kräver kvadratkomplettering. I en lösningsförslag fanns följande formulering:

Jag förstår inte riktigt varför man skriver . Är det inte lika bra att skriva ? Finns det någon motivation till att skriva eller är det bara smaksak?
Vad kommer b ifrån? Hör den ihop med något annat? Om du bara hittar på en bokstav själv kan du välja tecken på den.
står det ju i bilden, eller vad menar du?
Tänkte ifall man skulle ta reda på just den av någon anledning. Men finns den bara i den här frågan funkar vilket tecken som helst.