Kvadratkomplettering
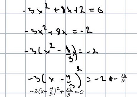
(B) Jag kommer inte fram till rätt svar som ska vara -3(x-4/3)^2+(22/3)
Hur går jag vidare från nedanstående beräkning
Att sätta upp en ekvation som du har gjort är ofta till stor hjälp för att få till kompensationstermen rätt, men det medför även en liten risk att man går vilse.
Vid läget kan man frestas att gå till för att underlätta kvadratkompletteringen. Det är iofs helt OK, men man måste då tänka på att man har bytt tecken på det uttryck man vill kvadratkomplettera.
En annan metod är att behålla det som ett uttryck och ta del för del:
Vi tittar nu på och kvadratkompletterar uttrycket innanför parenteserna:
Vi vet att , vilket är mer än det uttryck vi vill kvadratkomplettera.
För att kompensera denna extra term subtraherar vi lika mycket, vilket innebär att .
Nu sätter vi in detta i ursprungsuttrycket:
Om vi multiplicerar in -3 i den yttre parentesen får vi:
Efter förenkling får vi
=======
Oavsett metod bör man ta som vana att alltid kontrollera sin kvadratkomplettering genom att multiplicera ut det kvadratkompletterade uttrycket och jämföra med originalet.
Tack så mycket Yngve!
