Kvadratkomplettering komplexa tal
Kan någon snäll själ snälla berätta för mig vad för fel jag gör i denna uppgift. Fortsätter jag på samma spår som jag gjort så får jag fel lösningar.

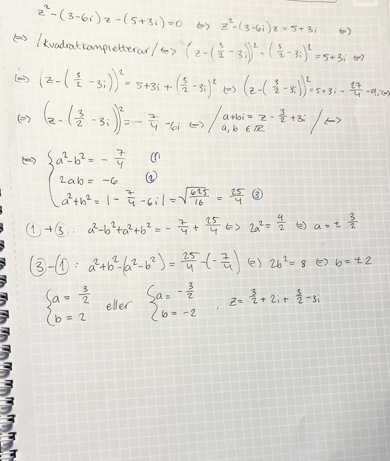
(2): 2ab = -6
kan inte ge a = 3/2, b = 2
Tillägg: 30 aug 2024 20:59
Det är nog säkrast att inte använda absolutbeloppet (3).
Dr. G skrev:(2): 2ab = -6
kan inte ge a = 3/2, b = 2
Tillägg: 30 aug 2024 20:59
Det är nog säkrast att inte använda absolutbeloppet (3).
Vad borde jag använda istället?
Real- och imaginärdelarna, (1) och (2), räcker.
Då blir det inga teckenfel!
Dr. G skrev:Real- och imaginärdelarna, (1) och (2), räcker.
Då blir det inga teckenfel!
Nu vet jag inte riktigt om jag tänkt rätt, men får fortfarande samma svar

Du får då från (2) att
a = -3/b
Sedan från (1) att b = ±2, så kombinerat blir då
b = 2, a = -3/2
eller
b = -2, a = 3/2
Verifiera att båda dessa kombinationer av a och b uppfyller (1) och (2).
Dr. G skrev:Du får då från (2) att
a = -3/b
Sedan från (1) att b = ±2, så kombinerat blir då
b = 2, a = -3/2
eller
b = -2, a = 3/2
Verifiera att båda dessa kombinationer av a och b uppfyller (1) och (2).
Men kan jag verkligen kombinera ett negativt tal med ett positivt?
a och b måste ha olika tecken för att uppfylla
(2): 2ab =-6
Dr. G skrev:a och b måste ha olika tecken för att uppfylla
(2): 2ab =-6
Ja nu när jag ändrar på kombinationen så får jag rätt lösning. Men så det är okej att göra så då?
Du får fram att b = ±2 och att a = -3/b.
b = 2 ger då a = -3/2
b = -2 ger då a = 3/2
Vad är det som känns oklart? Du har löst ett ickelinjärt ekvationssystem och fått ut två lösningar med värden på a och b.
Dr. G skrev:Du får fram att b = ±2 och att a = -3/b.
b = 2 ger då a = -3/2
b = -2 ger då a = 3/2
Vad är det som känns oklart? Du har löst ett ickelinjärt ekvationssystem och fått ut två lösningar med värden på a och b.
Ja jo. Blev bara lite osäker när min lärare sa att både a och b ska ha samma tecken, men har nog missförstått eftersom det inte går nu i mitt fall. Tack snälla för hjälpen!