4
svar
73
visningar
Embl00 behöver inte mer hjälp
Kvadreringsregel med tal som divideras
hej!
Som titeln säger, har jag svårt med kvadreringregeln när tal står i divison.
Ex. (X/2 + 8)2
hur ska man tänka?
Mvh, emil
Testa att sätta bråket i en parates, det kan vara lättare
Kommer du vidare?
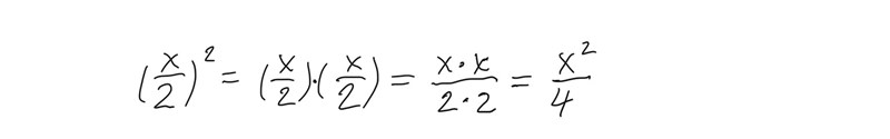
Vet du vad blir?
Förstår att en parantes kan hjälpa men just hur man ska tänka med (x/2)2 är det som jag fastnar på.
Tack för snabbt svar!
Tusen tack!
