Kvadreringsregeln
Varför blir "x×3+3×x" sedan 6x i det slutgiltiga resultat? Förstår att man lägger ihop de men kan någon förklara varför och hur. Möjligtvis även ge andra scenarion för att få bredare förståelse för att kunna sätta in i andra sammanhang och även ge bakgrund till varför och hur.
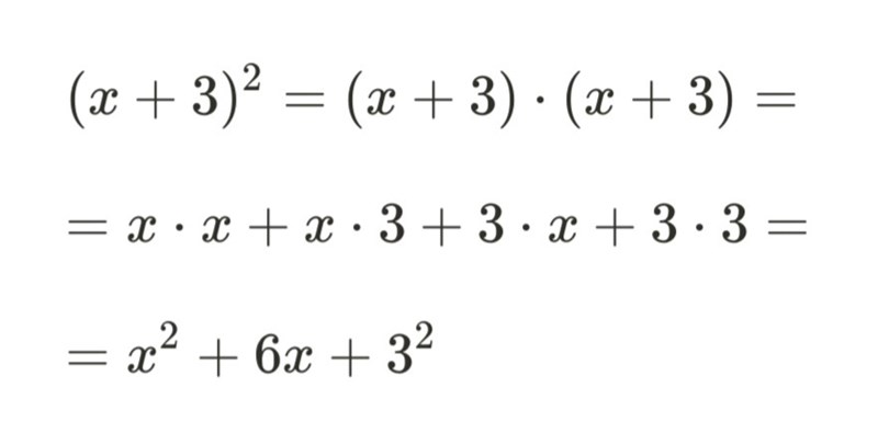
Som du ser så står det på andra raden i ekvationen
x*3+3*x
Ordningen på multiplikation spelar ingen roll så detta kan man skriva om till
3*x+3*x
Då har vi först tre x och sedan ytterligare tre x. Lägger man samman detta får man sex x.
3*x+3*x= (x+x+x)+(x+x+x)= x+x+x+x+x+x = 6*x
Tack för svar! Varför blir resultatet x²+6x+3², är det för man kan inte addera till exempel x²+3x eller till exempel 6x?
Man kan också göra en geometrisk beskrivning

Kvadraten i bilden har sidan (x+3) och därmed arean (x+3)2
Arean kan även beräknas som summa av de fyra mindre fyrhörningarna
den grönmarkerade har arean x*x, de rödmarkerade har arean 3*x och den blå har arean 3*3
summerar vi detta blir arean
x2 + 32 + 6*x vilket alltså = (x+3)2
Tack så jättemycket!