Kvadreringsregeln med division
Hej,
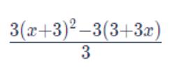
Jag sitter med nedan uppgift som gör mig lite förvirrad.

Man ska visst bryta ut treorna i täljaren och förkorta dessa mot trean i nämnaren.
Man kan därefter stryka alla treor helt och hållet.

När det blir såhär mycket siffror så tappar jag lätt förståelsen för grundläggande regler. I detta fall handlar det om att man kan stryka bort treorna.
Jag tänker såhär, är min förklaring rätt uppfattat?


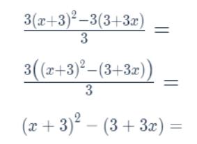
Ovan ser man att man lika gärna kunnat stryka treorna från första början, man får ändå samma svar.

Ja, men det är bättre att skriva
Det är svårt att veta vilka treor du menar med "alla treor".
Tillägg: 3 mar 2023 13:49
Jag råkade skriva 3-3x i stället för 3+3x i den andra termen i varje steg, men eftersom mina likheter stämmer i alla fall så ändrar jag det inte... men det ger fel svar på den ursprungliga uppgiften!
Smaragdalena skrev:Ja, men det är bättre att skriva
Det är svårt att veta vilka treor du menar med "alla treor".
Tack :) vad ska man kalla det? förkortning av bråk?
Ja, elle man kan säga att man förenklar uttrycket, helt enkelt. Men man kan fortsätta förenkla...
För att återgå till det riktiga uttrycket, så skulle jag ha kommit fram till att det är lika med (x+3)2-(3+3x), så om vi utvecklar kvadraten och tar bort parentesen, får vi x2+6x+9-3-3x, som kan förenkklas lite till.