2
svar
132
visningar
Pompan behöver inte mer hjälp
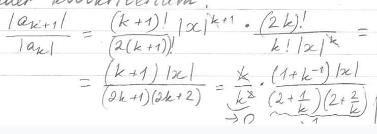
Kvotkriterium, tyda lösning
Förstår inte riktigt algebradelen i ett lösningsförslag.

Vad händer med fakulteterna efter andra = ?
Vad som händer med x är jag med på, men kan inte förklara det steget för resten av talet. Jag ser alltså inte hur de tas ut.
(K+1)! Tas ut av k!, så bara första, (k+1), blir kvar.
Sen om vi gångrar in 2:an i (2(k+1))! så får vi (2k+2)! = (2k+2)(2k+1)*(2k)!, där sista biten tas ut av den andra (2k)!
Så byt plats på nämnarna så ser du tydligare vad som hör ihop med vad.
Ah juste, n! = n*(n-1)!
Tack!