3
svar
98
visningar
offan123 behöver inte mer hjälp
Kvotregel och produktregeln

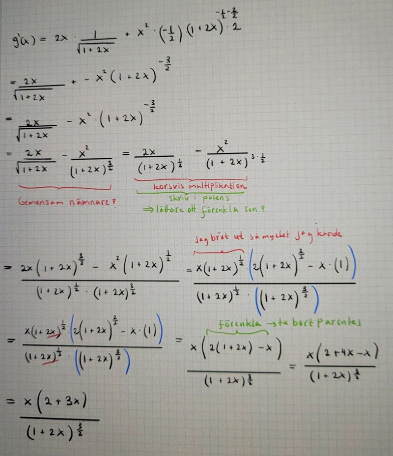
Denna uppgiften borde man kunna lösa med både produktregeln och kvotregeln.
Men jag behöver lite hjälp att komma vidare.
Ha det går att använda båda metoderna.
Du har tappat exponenten -3/2 på rad 3 men återfunnits den på rad 4.
Fortsätt genom att göra de båda termerna liknämniga, sätt på gemensamt bråkstreck och förenkla täljaren.
verkar detta stämma?
Ja nu är det rätt.
Det blir lite enklare beräkningar om du enbart förlänger första termen med (1+2x).