1
svar
211
visningar
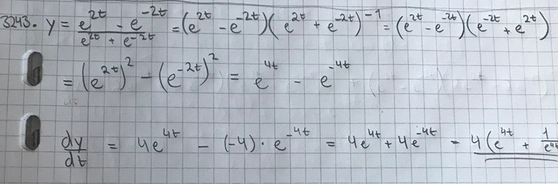
Kvotregeln derivera (e^2t - e^-2t)/(e^2t + e^-2t)
Hej, jag behöver hjälp med följande uppgift vilket jag har börjat med men fattar inte varför jag får fel svar när jag försöker derivera.


1. Uppgiften är att lösa med kvotregeln. Det ger dessutom en enkel lösning.
2. Se över din förenkling 1/(a+b)=(a+b)^(-1) vilket stämmer men sen blir det fel
(a+b)^(-1) är inte lika med a^(-1)+b^(-1). Testa.