2 svar
80 visningar
wk12 3
Postad: 30 sep 2024 10:51

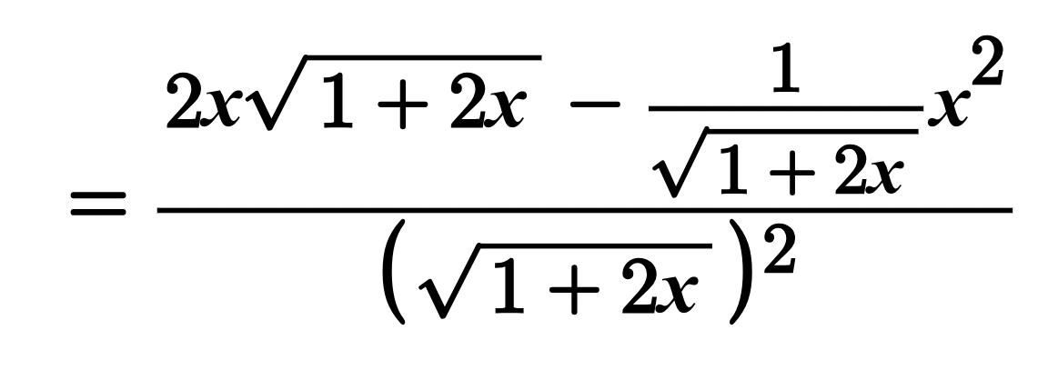
Kvotregeln, g(x)=x^2/(√ (1+2x))

Jag ska beräkna derivatan av funktionen g(x)=x2÷1+2x med hjälp av kvotregeln. 

Jag fastnar redan i början av deriveringen. Flera digitala lösningsförslag deriverar och ger följande svar: 

När jag ska derivera fg`, borde väl svaret i täljaren till funktionen bli: 2x1+2x-(x2÷(21+2x) ; detta då (1+2x)1/2 deriveras till 12×(1+2x)-12

wk12 3
Postad: 30 sep 2024 11:01

Alltså min uträkning ger: g'(x)=(2x(1+2x)- (x221+2x))1+2x

Yngve 42886
Postad: 30 sep 2024 11:24 Redigerad: 30 sep 2024 11:27

Hej och välkommen till Pluggakuten!

1+2x\sqrt{1+2x} är en sammansatt funktion.

För att derivera den behöver du använda kedjeregeln. Du får då ut den inre derivatan av 1+2x som en faktor.

Denna faktor är 2, vilket gör att täljarens andra term blir x2·121+2x·2=x2·11+2xx^2\cdot\frac{1}{2\sqrt{1+2x}}\cdot2=x^2\cdot\frac{1}{\sqrt{1+2x}}

Svara
Close