3 svar
340 visningar
Maria Maria 2 – Fd. Medlem
Postad: 3 mar 2022 22:29

Laboration: Isens Specifik Smältvärme (Fysik 1)

Hej! Jag har problem med att räkna ut isens smältvärme. Vore tacksam för hjälp att komma på traven.

(Har bifogat mina värden i en värdetabell längre ner.)

Jag är osäker på vilken formel jag ska använda. Som jag förstår så finns det formel för a) specifik värmekapacitet, b) värmekapacitet, c) smältvärme, och dom ska slås ihop på något vis?

En sådan formel finns i boken, men när jag använde det så fick jag ett tal som inte riktigt passar.

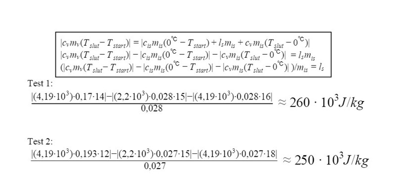
Ei=ci×miTi+ls×mi+cv×mi×Ti

 

4544,1=2200×0,085×4+ls×0,085+4190×0,085×(5,7-0)=ls0,085+2778,055=4544,1=ls0,085=1766,045=1766,0450,085ls=20 777 kJ/kg

 

Beräkningar för energitillförsel: 


Ei=ci×mi×T=2,2×103×0,085×24,3=4544,1 J

Ev=cv×mv×Tv=4,19×103×0,255×24,3=25 963 J

Mina värden: 

 

Sen hittade jag på nätet att någon hade gjort så med sina värden. Är det här jag ska göra? Jag försökte men fick ut konstig tal som inte passade igen. 

Smaragdalena 78892 – Avstängd
Postad: 4 mar 2022 10:42

Välkommen till Pluggakuten!

Från början hade du m1 gram vatten (med temperaturen t1)och m2 g is (med temperaturen t2). Efteråt hade du (m1+m2) g vatten med temperaturen t3.

Vattnet som svalnade från temperaturen t2 till t3 avgav en viss mängd värmeenergi, Esvalna. Denna energi gick åt till tre olika processer:

  1. Isen värmdes från t1 till smältpunkten, Eis
  2. isen smälte, Esmält
  3. smältvattnet värmdes från smältpunkten till t3, Evv där vv betyder värma vatten

Detta ger den formel du har från boken, den översta som som börjar med Ei = ...

Den säger egentligen att Esvalna = Eis + Esmälta +Evv, om man använder mina beteckningar.

Lite längre ner har du en kortare formel som också börjar med Ei. Du bör ha en annan beteckning om du räknar ut någonting annat! Den här verkar bara vara den energimängd som går åt för att värma isen från starttemperaturen till smältpunkten. Det gäller ju inte att Esvalna = Eis, med mina beteckningar, så därför bör de få olika namn.

 

Jag har inte kontrollräknat, men det kan hända att en stor del av felet beror på att 0,255 + 0,085 = 0,330, inte 0,370.

Maria Maria 2 – Fd. Medlem
Postad: 5 mar 2022 20:14

Om formeln för isens smältentalpin är Q=ls*m, så förstår jag inte riktigt om Q ska vara vattnets, eller isens.  

Om isens, då Q/m=ls  ->  4555,1/0,085= 53 589 J/kg

Om vattnets, då  Q/m=ls  ->  25 963/0,085=305 447 J/kg

Fast borde det inte vara isens? 

Smaragdalena 78892 – Avstängd
Postad: 5 mar 2022 20:52

Jag förstår inte vad du menar. Vad menar du med ls? Vad är det för siffror du använder?

 

När isen värms från -4 till 0 skall det vara isens specifika värmekapacitet. När vattnet värms från 0 till 5,7 skall det vara vattnets specifika värmekapacitet. 

Svara
Close