1
svar
657
visningar
Låda i en lastbil på ett lutande plan.
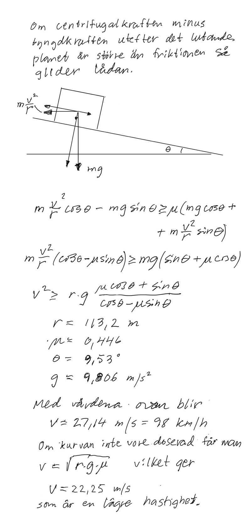
En låda med massa m ligger på ett lastbilsflak. Lastbilen kör i en doserad (= lutande) kurva med farten v, se figur. Lutningen på vägbanan är θ och bilens bana har krökningsradie ρ. Det finns friktion mellan flaket och lådan. Lådan ska förbli på flaket. Räkna med tyngdaccelerationen g = 9,806 m/s².Hur stor är den maximala farten ifall banradien är ρ = 113,2 m den statiska friktionskoefficienten är 0,446, massan är m = 5,900 kg och doseringen är θ = 9,53°?
Hur ska jag tänka i den här uppgiften? Än så länge har jag frilagt lådan och ställt upp jämvikts uttryck för krafterna i n-led och y-led.
Sedan vet jag inte hur jag forsätter. All hjälp uppskattas!
