Laddning och fält svår uppgift utan facit

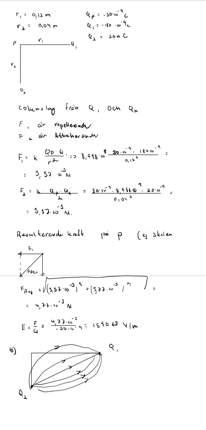
En kula P med laddningen -30 nC befinner sig 12,0 cm från en laddning –180 nC och på avståndet 4,0 cm från en laddning +20 nC. Riktningarna från P till laddningarna är vinkelräta mot varandra. Se figur.
a) Bestäm till storlek och riktning den elektriska kraften på kula P.
b) Rita en egen figur och markera det elektriska fältets riktning med en pil vid kulan P.
Jag tänkte mig att man kunde använda sig av coulumbs lag i a) och se hur kulan påverkas av de två laddningarna. Därefter rita som kraft pilar till höger om kulan och resultaten som bildas mellan sidorna är elektriska fältet kraft påverkan på kulan. Har jag tänkt rätt?
Ja, du har tänkt rätt. Du kan hantera kraftpåverkan från -180 nC-laddningen och +20 nC-laddningen separat följt av att du adderar dem till en resultant.
Vad tror du om b)?
Du är på rätt spår.
Ebola, svårt att beskriva. Men jag skulle säga att man ritar ut kraftpilen från -180nC på vänster sida och därefter, där kraftpilen slutar ritar ut kraften som påverkas från 20nC, kraft resultaten blir kraftfältets riktning?
Rita ut vilka krafter som verkar på P. Eftersom laddningen i P är negativ så kommer den att repelleras av -180 nC, dvs kraftpil åt vänster.
Laddningen i P är negativ och attraheras av +20 nC, dvs kraftpil nedåt. Båda kraftpilarna ska utgå från laddningen i P.
Du måste även räkna ut storleken på respektive kraft.
Det elektriska fältet går från positiv till negativ laddning, eller annorlunda uttryckt: det visar i vilken riktning en liten positiv laddning skulle röra sig. Rita en bild och ladda upp den, så kan vi se om du har tänkt rätt.
Bo-Erik skrev:Rita ut vilka krafter som verkar på P. Eftersom laddningen i P är negativ så kommer den att repelleras av -180 nC, dvs kraftpil åt vänster.
Laddningen i P är negativ och attraheras av +20 nC, dvs kraftpil nedåt. Båda kraftpilarna ska utgå från laddningen i P.
Du måste även räkna ut storleken på respektive kraft.Det elektriska fältet går från positiv till negativ laddning, eller annorlunda uttryckt: det visar i vilken riktning en liten positiv laddning skulle röra sig. Rita en bild och ladda upp den, så kan vi se om du har tänkt rätt.
Så nu har jag gjort lite uträkningar är inte säker på ifall det är rätt och är väldigt osäker på b) 
OlafJohansson21 skrev:Så nu har jag gjort lite uträkningar är inte säker på ifall det är rätt och är väldigt osäker på b)
a) Ser ut att vara rätt men jag har inte detaljstuderat din lösning.
b) Här har du sannolikt missförstått vad Bo-Erik menade. Du ska i punkten där kulan P befinner sig rita in det elektriska fältets riktning. En endaste pil ska du alltså rita, i den punkten.
Ta bort kulan med laddning -30 nC och lägg istället dit en partikel med laddning +1 C. Räkna ut och rita in kraftresultantens riktning - då har du även ritat det elektriska fältets riktning.
Den tänkta laddningen i P, så kallad provladdning, måste vara mycket mindre än de andra laddningarna för att inte påverka det elektriska fältets utseende.
Bo-Erik skrev:Den tänkta laddningen i P, så kallad provladdning, måste vara mycket mindre än de andra laddningarna för att inte påverka det elektriska fältets utseende.
Innebär detta att beräkningen i a) är fel? -30 nC är nämligen jämförbart med både +20 nC och -180 nC men elektriska fältets påverkan på en negativ testpartikel sammanfaller med riktningen för kraften.
Hur kan det vara så? Borde inte kulan med -30 nC påverka fältet omkring sig? Eller är det så att eftersom vi analyserar samma punkt som är källa och inte ett utbrett vektorfält spelar det ingen roll vilken storlek "testladdningen" har?
Så här har jag förstått det:
Metodiken i a är den samma oberoende av laddningarnas storlek.
Däremot kommer det elektriska fältet vid P att påverkas av om provladdningen är mycket mindre än de andra laddningarna eller mycket större. I det första fallet påverkas det resulterande elektriska fältet endast obetydligt, men i det andra fallet blir påverkan betydlig. Om vi tänker oss en mycket stor positiv laddning vid P så kommer det resulterande elektriska fältet att helt domineras av den stora laddningen.
Bo-Erik skrev:Så här har jag förstått det:
Metodiken i a är den samma oberoende av laddningarnas storlek.
Däremot kommer det elektriska fältet vid P att påverkas av om provladdningen är mycket mindre än de andra laddningarna eller mycket större. I det första fallet påverkas det resulterande elektriska fältet endast obetydligt, men i det andra fallet blir påverkan betydlig. Om vi tänker oss en mycket stor positiv laddning vid P så kommer det resulterande elektriska fältet att helt domineras av den stora laddningen.
Det enda jag kan se är att storleken på fältet i punkten P förändras, inte riktningen. Kan du se något annat? Då det är riktningen som söks känns det överflödigt att bry sig om storleken.
Ebola skrev:Bo-Erik skrev:Så här har jag förstått det:
Metodiken i a är den samma oberoende av laddningarnas storlek.
Däremot kommer det elektriska fältet vid P att påverkas av om provladdningen är mycket mindre än de andra laddningarna eller mycket större. I det första fallet påverkas det resulterande elektriska fältet endast obetydligt, men i det andra fallet blir påverkan betydlig. Om vi tänker oss en mycket stor positiv laddning vid P så kommer det resulterande elektriska fältet att helt domineras av den stora laddningen.
Det enda jag kan se är att storleken på fältet i punkten P förändras, inte riktningen. Kan du se något annat? Då det är riktningen som söks känns det överflödigt att bry sig om storleken.
Ja fast nej, tro inte att man ska tänka från 1C utan snarare att det ska vara samma linje som jag ritade tidigare fast i motsatt riktning för kraftetsfältet riktning.
OlafJohansson21 skrev:Ebola skrev:Bo-Erik skrev:Så här har jag förstått det:
Metodiken i a är den samma oberoende av laddningarnas storlek.
Däremot kommer det elektriska fältet vid P att påverkas av om provladdningen är mycket mindre än de andra laddningarna eller mycket större. I det första fallet påverkas det resulterande elektriska fältet endast obetydligt, men i det andra fallet blir påverkan betydlig. Om vi tänker oss en mycket stor positiv laddning vid P så kommer det resulterande elektriska fältet att helt domineras av den stora laddningen.
Det enda jag kan se är att storleken på fältet i punkten P förändras, inte riktningen. Kan du se något annat? Då det är riktningen som söks känns det överflödigt att bry sig om storleken.
Ja fast nej, tro inte att man ska tänka från 1C utan snarare att det ska vara samma linje som jag ritade tidigare fast i motsatt riktning för kraftetsfältet riktning.
Det är precis så det blir om du sätter dit en positiv testpartikel med negligerbar laddning. Det jag försöker hävda är att denna riktning är oberoende av laddningens storlek eftersom den divideras bort i uträkningen för punkten P.
Det här är i sammanhanget en fråga om teoretisk giltighet relativt när du rent praktiskt utför testet. Om du faktiskt skulle ta en kula med laddning +30 nC och mäta kraften den utsätts för i punkten P - är det representabelt för E-fältet i den punkten?
Riktningen på ett E-fält definieras nämligen utifrån i vilken riktning en testpartikel accelererar. Uträkningen med hjälp av Coloumbs lag bryr sig bevisligen inte om laddningens storlek så är den giltig?
Återigen; jag vill hävda att det i någon annan punkt än P är högst relevant vilken laddning partikeln i punkten P har. Det är enbart i just punkten du sätter partikeln med icke-negligerbar laddning som fältets riktning är opåverkat.
Vid närmare eftertanke tror jag att Ebola har rätt och att jag har tänkt fel. Om man placerar en laddning med 1 C i stället för 1 nC i P så kommer både kraften i horisontell och vertikal riktning att öka med en faktor . Men det ändrar ju inte riktningen på den resulterande kraften.