Laddningar (2)
Vad gör jag för fel? Facits svar:


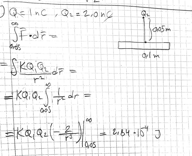
Edit: Ett misstag är när jag integrerar. Det ska stå . Men jag får ändå
Du använder formel för kraften mellan två punktformiga laddningar. I det här har du en punktformig laddning och en laddad stav.
Så vilken formel ska man använda?
Jag vet inte riktigt än. Men du inser att man borde inte kunna approximera staven med en punktladdning, eller hur?
JohanF skrev:Jag vet inte riktigt än. Men du inser att man borde inte kunna approximera staven med en punktladdning, eller hur?
Om jag får gissa, jag tror att du själv måste beräkna potentialen som den ledande staven skapar i den angivna positionen genom att integrera potentialtillskott som laddningselement längs staven bidrar med.
Men som sagt. Det är ett höftskott.
Såhär tror jag att du kan göra (och inte göra). Du kan inte använda eftersom du vet inte om den elektrostatiska kraften alltid verkar i vägens riktning vilket du måste veta om arbete=kraft*väg ska användas.
Istället är det nog enklast att beräkna punktladdningens potentiella energi i den angivna punkten, och sedan dra ifrån laddningens potentiella energi när den befinner sig på "stort avstånd". Skillnaden mellan dessa energinivåer är lika stort som det arbete som krävs för att föra laddningen dit.
Och som sagt, potentialen i punkten måste du integrera fram själv, utifrån antagandet att stavens laddning är jämnt fördelad över staven (och man antar att staven har ingen "bredd", bara längd).
Visa spoiler
Beräkning av den elektrostatiska potentialen i punkten P:
Potentialen från en punktladdning någonstans på staven i punkten P är
där är laddningselementet på längdelementet på staven.
Vi vet att laddningen på hela staven är . Alltså blir sambandet
där är stavens längd. Alltså
och potentialen blir
's potentiella energi i punkten P, blir alltså
Eftersom 's potentiella energi på "långt avstånd" är noll, så blir arbetet 320nJ att föra laddningen till punkten P

Jag förstod inte riktigt angående vad som ska integreras och varför.
Man får helt enkelt göra sig en modell av en stav (se min figur ovan), där varje längdelement dy på staven har punktladdningen dq. Denna punktladdning dq ger en potential i punkten P enligt standardformel för punktladdning (herr Coulomb kom ju på hur detta hängde ihop).
Alla dessa bidrag dq längs staven måste sedan summeras ihop för att få den totala potentialen i punkten P.
JohanF skrev:Visa spoiler
Beräkning av den elektrostatiska potentialen i punkten P:
Potentialen från en punktladdning någonstans på staven i punkten P är
där är laddningselementet på längdelementet på staven.
Vi vet att laddningen på hela staven är . Alltså blir sambandet
där är stavens längd. Alltså
och potentialen blir
's potentiella energi i punkten P, blir alltså
Eftersom 's potentiella energi på "långt avstånd" är noll, så blir arbetet 320nJ att föra laddningen till punkten P
Jag förstår inte sambandet
Hur tolkar man sambandet? Är inte laddningen jämt fördelad i hela staven??
Sen har jag jättesvårt för uppgifter med integraler. Jag förstår inte när man t.ex. säger: "Vi tar en liten ändring och integrerar över hela ringen". Skulle du kunna förklara?
EDIT: Just i denna kurs är det mycket integraler och jag förstår verkligen inte hur man ska veta när man ska integrera och så...
Angående angreppssättet:
Man måste nästan lära sig när man ska leta i bakhuvudet efter en standardformel och när man inser att man måste härleda sin egen för sin speciella setup. Att det inte fanns en standardformel för det här fallet ”kändes” ganska snabbt, eftersom uppställningen inte var speciellt generisk. (jämför fall där standardformel finns framtagn, tex formeln för potentialen mellan två laddade plattor med ”oändlig” utsträckning, eller magnetfältet inuti en ”platt” spole, eller magnetfältet inuti en ”avlång” spole, svängningstiden hos matematisk pendel vid ”små utslag”, etc).
Och när det gäller elektrostatiska fenomen så är grunden interaktionen mellan två punktladdningar, som beskrivs av Coulombs lag. Och det brukar ju också finnas exempel på hur man beräknar den elektrostatiska interaktionen mellan flera olika punktladdningar genom att summera bidraget från varje punktladdning för att få helhetsbilden. Sådana exempel har du säkert stött på någon gång. Då är det väldigt nära tillhands att försöka använda samma teknik även i det kontinuerliga fallet, att summer bidrag från punktladdningar, men där summeringar övergår till integraler, och elementen man summerar övergår till infinitesimala, men oändligt många element.
Angående sambandet mellan och :
Uppgiften säger att laddningen är jämnt fördelad på staven, och vi tänker oss staven som endimensionell, som en linje. (Det står ju ingenting om stavens bredd i uppgiften, det ger dig ledtråden att du förmodligen kan betrakta den som endimensionell). Då skulle man ju kunna hacka upp linjen i infinitesimala smådelar, där varje liten linjedel även har en del av totala laddningen, en punktladdning. Och punkladdningar vet vi ju hur vi ska behandla! Det låter alltså som en framkomlig väg.
Om staven med längd (som jag har placerat längs y-axeln i koordinatsystemet i figuren) är upphackad i smådelar , så blir antalet smådelar = . Om då den totala laddningen är jämnt fördelad över, så hackas total laddningen upp i småladdningar , alltså . Därav kommer sambandet.