3
svar
80
visningar
Laddningsström
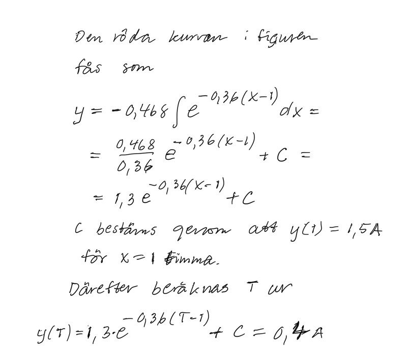
Jag får negativt värde på tiden men jag tror min uträkning är rätt. Det jag gjorde var att jag skrev upp en integral som ska vara lika med 0,4 ampere. Den givna funktionen i uppgiften beskriver hastigheten som strömmen ändras på så för att man ska veta vilken ström vi har efter en viss tid kan man beräkna integralen. Detta eftersom arean under funktionen ger strömmens storlek.


Din integral anger ändringen i ström, men du får ta med i beräkningen att strömmen börjar på 1,5 A.
Juste. Men 1,5 A kan man säga är C-värdet och i en integral kommer den att försvinna. Menar du att jag ska sätta den utanför integralen till vänster och addera. 

