Lagrangefunktionen med två bivillkor
Uppgiften lyder såhär:

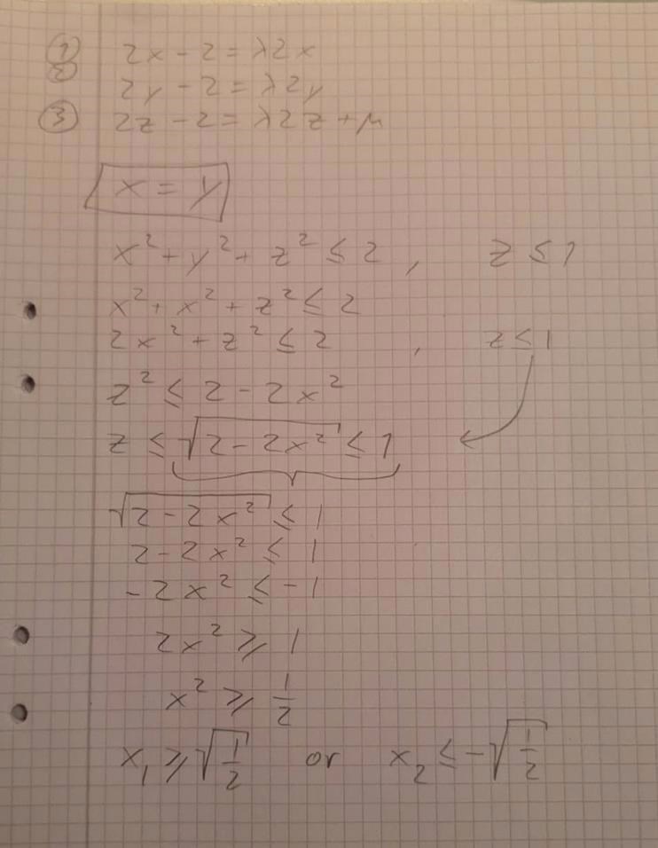
Sedan har jag använt Lagrangefunktionen:

Därefter har jag kladdat fram detta:

Därefter fastnar jag och förstår inte hur jag ska ta mig tillväga. Några tips?
Är det intressant att göra en Jacobimatris istället? Blir det enklare då?
Jag kämpade och fick fram extremvärdet vid punkten till 7+2
vilket stämmer rätt så bra överens med vad jag ser från geogebra's grafiska kalkylator:

Så förhoppningsvis är det rätt :)
Vad sägs om punkten (, , )?
hur får du att z-punkten blir -1? borde den inte vara 1 bara?
Ojsan, har väl gjort något fel här.
Sett att wolfram alpha får fram samma punkt, men kunde inte få fram den och extremvärdet är oerhört nära den punkten du angav... 9,88 istället för 9,82 ungefär.
jag tänker att man får sambandet x=y från determinanten, sen löser man ekk.systemet x=y, z=1, x^2+y^2+z^2=2 men jag kan ha helt fel, tycker uppgiften är svår.
miccelina skrev:jag tänker att man får sambandet x=y från determinanten, sen löser man ekk.systemet x=y, z=1, x^2+y^2+z^2=2 men jag kan ha helt fel, tycker uppgiften är svår.
Precis, det är ett av sätten
Kolla här (speciellt näst sista sidan):
http://www.csc.kth.se/utbildning/kth/kurser/DD3364/Lectures/KKT.pdf
Notera att det är för minimering, så du måste modifiera metoden något för maximering.
Ska ta en titt på det, tack för tipset!
aah! men hur löser man ut x? fastnar på den
Uppgiften frågar inte riktigt efter randpunkter, utan den frågar om punkter inom D.
Den frågar efter punkter i området D. D innefattar randen.