Lagranges restterm (envariabelanalys)
jag har läst överallt på internet och i min kursbok men ingenstans får mig att förstå då det antingen är för komplexa exempel eller för lite information så gör ett försök här och skulle uppskatta om någon har något enkel förklaring utan att rita eller så
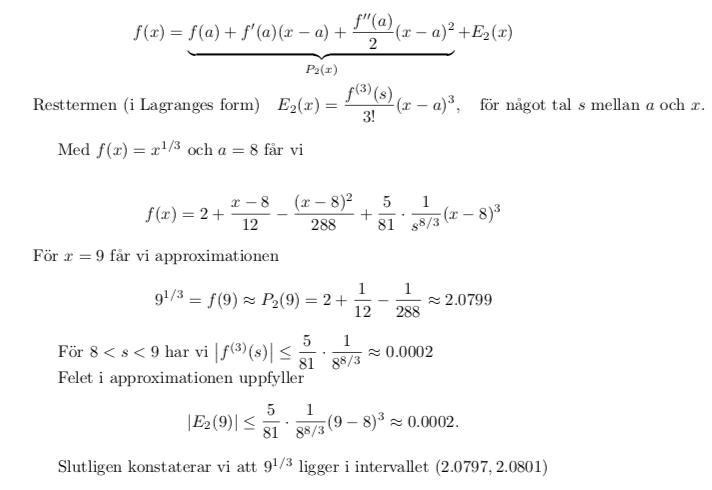
jag ska beräkna följande med Taylorutveckling kring x = 8 av ordningen 2 () och approximera samt ge en feluppskattning. eller jag vet inte ens vad allt betyder men jag vet att jag ska Taylorutveckla samt räkna fram nått fel som ingen har förklarat hur man gör, uppgiften lyder

jag har räknat allting fram till restterm för vet ej hur jag ska göra nu
+ restterm
resttermen vet jag är bara nästa derivantan fast med (s) och att s ska ligga mellan 8 - 9 men vad gör man sen, förstår inte vad man ska göra efter att man taylorutvecklat p(x)
Vet du hur resttermen ser ut? Den ger felet. Vi vet inte vad s är för nåt, men du kan ta reda på vad felet maximalt kan vara genom att stoppa in ett så stort s som möjligt, alltså s=9.
Detta kanske hjälper: https://www.pluggakuten.se/trad/varfor-ar-feltermen-i-ett-mclaurinpolynom-inte-oandlig/
Inte alltid så stort s som möjligt, du skall välja det s som gör att resttermen blir så stor som möjligt.
Qetsiyah skrev:Vet du hur resttermen ser ut? Den ger felet. Vi vet inte vad s är för nåt, men du kan ta reda på vad felet maximalt kan vara genom att stoppa in ett så stort s som möjligt, alltså s=9.
Detta kanske hjälper: https://www.pluggakuten.se/trad/varfor-ar-feltermen-i-ett-mclaurinpolynom-inte-oandlig/
yes jag är med hur hur resttermen ser ut men förstår fortfarande inte hur jag ska räkna ut det, blir svaret ett intervall eller ett tal eller hur går man tillväga?
Felet kan inte bli hur stort som helst eller hur litet som helst. Felet kan vara det du får när du stoppar in något s mellan 8 och 9.
Som emmynother sa så ger inte största s alltid störta fel, men låtsas som det i fetta fallet i alla fall.
Qetsiyah skrev:Felet kan inte bli hur stort som helst eller hur litet som helst. Felet kan vara det du får när du stoppar in något s mellan 8 och 9.
Som emmynother sa så ger inte största s alltid störta fel, men låtsas som det i fetta fallet i alla fall.
okej men jag förstår inte hur uträkningen ser ut elr vad det är jag ska lägga in vart eller hur man ställer upp det eller vad är det jag ska redovisa, jag vet alltså ingenting av vad som ska göras efter det jag räknat fram i min uträkning, vad gör jag efter det?
Okej, vi kan ta det långsamt. Skriv ut resttermen först!
Qetsiyah skrev:Okej, vi kan ta det långsamt. Skriv ut resttermen först!
fick till men vet ej om det är rätt för vet ej hur felterm funkar
Dina kalkyler verkar ok.
Låt mig sätta in dem i sitt sammanhang, så kanske det klarnar betr. feltermen.

Tredjederivatan blir störst för s=8, eller hur?
På så vis kan vi maximera feltermen.
Överens?
dr_lund skrev:Dina kalkyler verkar ok.
Låt mig sätta in dem i sitt sammanhang, så kanske det klarnar betr. feltermen.
Tredjederivatan blir störst för s=8, eller hur?
På så vis kan vi maximera feltermen.
Överens?
tack snälla! enkelt tydligt och allt jag önskade utan krångel ! tack!!!
fråga dock, om man ej kan räkna ut det där bråket i huvudet, skriver man det då bara i bråkform som intervall?
Jag gissar att miniräknare inte är tillåtet på tentorna. Så då får du helt enkelt svara med intervallgränserna på bråkform.
tack snälla!