5
svar
127
visningar
Marcus N behöver inte mer hjälp
Lämpligt användning av derivatan


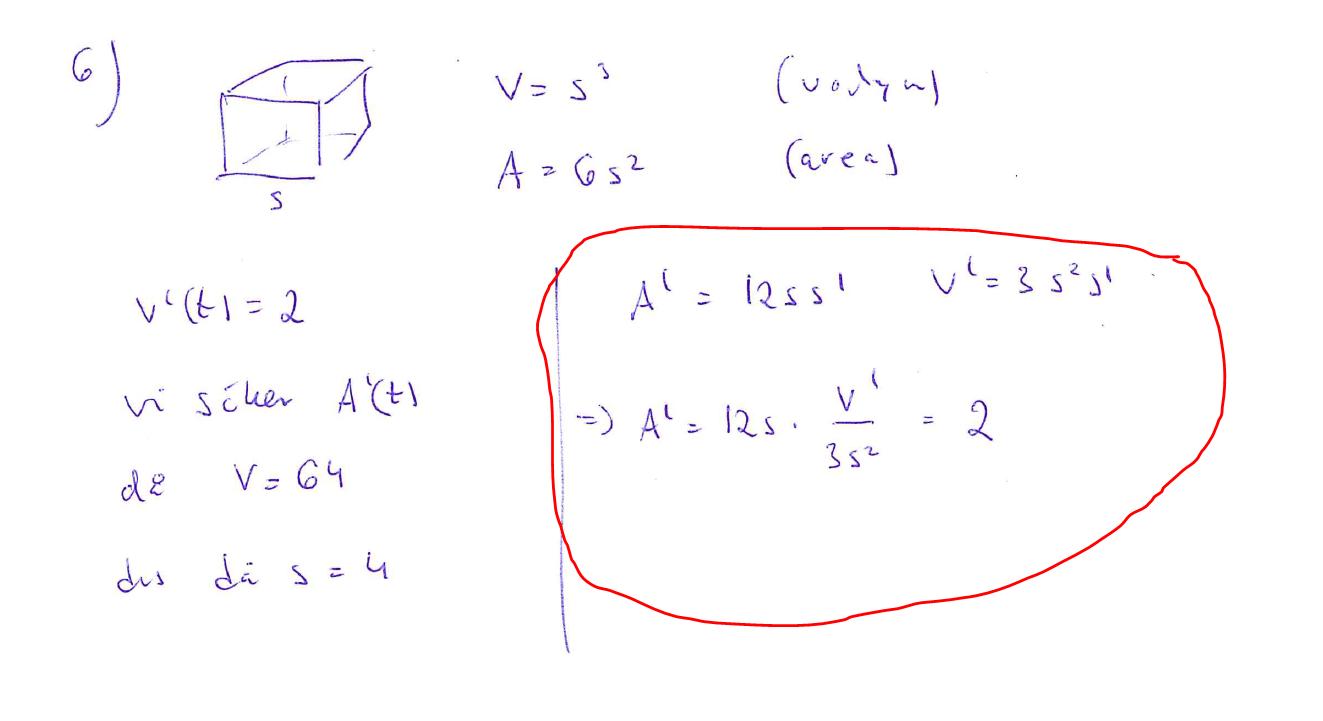
Är sidanlängd s också beroende av tiden t ??
Ja volymen förändras, vilket betyder att sidlängden ändras
Marcus N skrev:
Är du med på hur de kommer fram till den formeln?
Men ja, i den formeln stoppar du in V'=2, och att s=4 (vilket kommer från att man i uppgiften säger att V=64 cm^3)
Hondel skrev:
Är du med på hur de kommer fram till den formeln?
Men ja, i den formeln stoppar du in V'=2, och att s=4 (vilket kommer från att man i uppgiften säger att V=64 cm^3)
Stämmer detta?
Ja det ser väl bra ut

