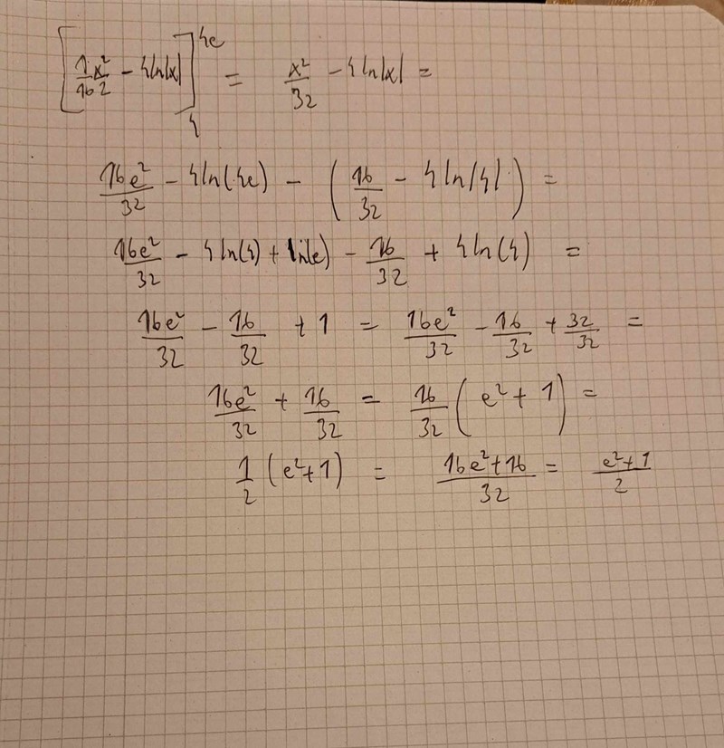
-4ln(4e) är -4ln(4)-4ln(e).
Laguna skrev:-4ln(4e) är -4ln(4)-4ln(e).
Juste!
Detta svar är felaktig.. varför?

rad 4 blir sqrt(x^4+128x^2+64^2)=sqrt(x^2+64^)^2
rapidos skrev:rad 4 blir sqrt(x^4+128x^2+64^2)=sqrt(x^2+64^)^2
Du har rätt. Tackar!
destiny99 skrev:rapidos skrev:rad 4 blir sqrt(x^4+128x^2+64^2)=sqrt(x^2+64^)^2
Du har rätt. Tackar!
Jag är tyvärr inte helt säker på att jag räknade rätt.
rapidos skrev:destiny99 skrev:rapidos skrev:rad 4 blir sqrt(x^4+128x^2+64^2)=sqrt(x^2+64^)^2
Du har rätt. Tackar!
Jag är tyvärr inte helt säker på att jag räknade rätt.
Jaha men du hade rätt gällande roten ur uttrycket. Jag borde ha skrivit +128x^2. Nu blev allt rätt
destiny99 skrev:rapidos skrev:destiny99 skrev:rapidos skrev:rad 4 blir sqrt(x^4+128x^2+64^2)=sqrt(x^2+64^)^2
Du har rätt. Tackar!
Jag är tyvärr inte helt säker på att jag räknade rätt.
Jaha men du hade rätt gällande roten ur uttrycket. Jag borde ha skrivit +128x^2. Nu blev allt rätt
Blev svaret rätt? Vad fick du?
rapidos skrev:destiny99 skrev:rapidos skrev:destiny99 skrev:rapidos skrev:rad 4 blir sqrt(x^4+128x^2+64^2)=sqrt(x^2+64^)^2
Du har rätt. Tackar!
Jag är tyvärr inte helt säker på att jag räknade rätt.
Jaha men du hade rätt gällande roten ur uttrycket. Jag borde ha skrivit +128x^2. Nu blev allt rätt
Blev svaret rätt? Vad fick du?
Ja det blev det. Jag fick e^2/2+7/2
destiny99 skrev:rapidos skrev:destiny99 skrev:rapidos skrev:destiny99 skrev:rapidos skrev:rad 4 blir sqrt(x^4+128x^2+64^2)=sqrt(x^2+64^)^2
Du har rätt. Tackar!
Jag är tyvärr inte helt säker på att jag räknade rätt.
Jaha men du hade rätt gällande roten ur uttrycket. Jag borde ha skrivit +128x^2. Nu blev allt rätt
Blev svaret rätt? Vad fick du?
Ja det blev det. Jag fick e^2/2+7/2
Det fick jag också.


