Längden av en kurva - tillämpningar av integraler
Uppgiften är:
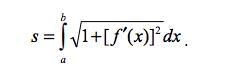
Jag vet att jag ska använda mig av formeln

men eftersom jag har svårt med integraler i allmänhet så behöver jag verkligen er hjälp. Finns det någon fin människa som kan förklara för jag uppfattar detta som jätte komplicerat.
Tack på förhand!
Hur långt har du kommit? Visa hur du har gjort!
Hur ser integralen ut när du har satt in dina integrationsgränser och din funktion?
Frågan är lite lurig. x är en funktion av y, men det gör inget! Byt allting
Man bör väl vända på det här?
där
Har ej kommit så långt alls. Undrar om jag ska inleda med att omformulera funktionen så att det blir y=.. och sedan integrera funktionen eller är det fel tankesätt/metod?
Smaragdalena skrev:Hur långt har du kommit? Visa hur du har gjort!
Hur ser integralen ut när du har satt in dina integrationsgränser och din funktion?
Har ej kommit så långt alls. Undrar om jag ska inleda med att omformulera funktionen så att det blir y=.. och sedan integrera funktionen eller är det fel tankesätt/metod?
tomast80 skrev:Man bör väl vända på det här?
där
så jag ska derivera funktionen med avseende på x istället?
Nej, med avseende på :
Qetsiyah skrev:Frågan är lite lurig. x är en funktion av y, men det gör inget! Byt allting
Hej, tack för svar. Hur menar du byt allting?
tomast80 skrev:Nej, med avseende på :
Okej då förstår jag! Ska jag bara sätta in funktionen i formeln isåfall och så har jag mitt svar på längden av kurvan? Fick höra att momentet vi håller på med är under kategorin "dubbelintegraler" och därav min förvirring. Vill förstå ungefär hur jag ska gå tillväga nämligen.