0
svar
110
visningar
pepsi1968 behöver inte mer hjälp
Laplace dubbelsidig
Hej! Jag har denna uppgift: "Sök en begränsad partikulärlösning med hjälp av dubbelsidig Lapplacetransform:
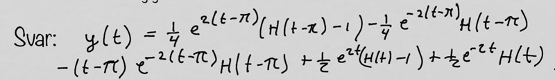
Jag kom fram till:
Detta är rätt. Det som är finurligt är svaret.. I facit säger dem enbart: "Inverstranformering ger sedan".
Det jag egentligen inte är med på är två saker.
1. varför det blir (H(t-pi)-1) på vissa termer?
2. varför ens heaviside på de sista två termerna som kommer ifrån Dirac?
