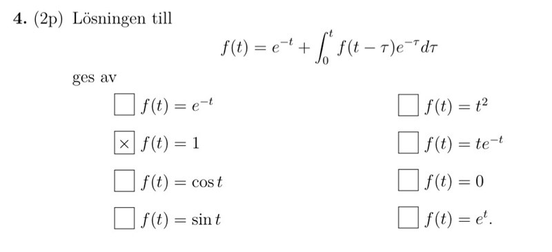
Laplace transformer
Har totalt glömt bort hur man omvandlar dessa! Kommer bara fram till att enligt formelsamling så blir f(t) = F(s) och , men sen tar det stopp! Någon som kan guida mig igenom uppgiften?
Så det ska alltså bli F(s)=F(s)G(s)•? Näää, detta blir ju fel. Hur ska detta bli 1?
F(s) = + F(s). Lös ut F(s) och invertera mha tabell.
Så F(s) blir alltså . Enligt tabellen är . Så därför blir det 1. Har jag uppfattat det rätt? Men måste ändå fråga. Varför uteslöt du G(s), för du har bara skrivit F(s)?
Ja det ser rätt ut. Var fick du G(s) från? Finns inget G(s) i uppgiften.
Enligt min formelsamling så står det att . Så därför när jag omvandlade så skrev jag F(s)=+F(s)G(s). Och det var då jag undrade vad som hände med just G(s), för du skrev bara F(s), vilket resulterade i rätt svar...
Står det månne att F(s)G(s)? Men vad är g(t) och G(s) då i vårat speciella fall?
Sorry, såg att jag har lyckats förvirra mig själv! I formelsamlingen så står det vilket ger att och . Då hänger jag med!
