2
svar
126
visningar
2fly2cry behöver inte mer hjälp
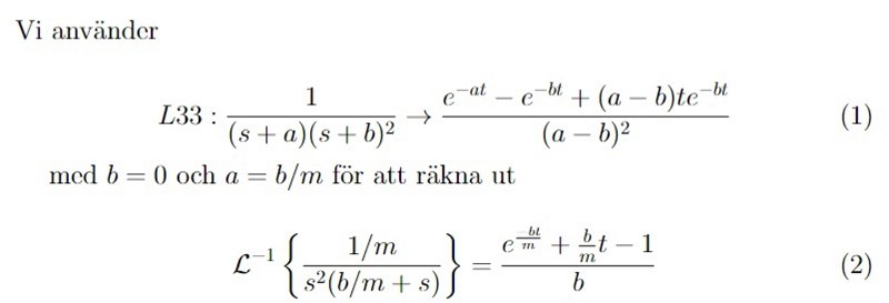
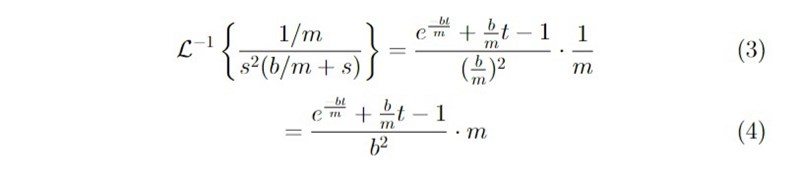
Laplacetransform enligt standard
Hej!
Försöker klura ut hur ett lösningsförslag har kommit fram till ett visst resultat via Laplacetransform:

När jag använder L33 på egen hand får jag andra värden via nämnaren i L33 som jag tycker bör kvadreras, har jag eller lösningsförslaget fel?
Tacksam för all hjälp!
Du har genomfört den inversa Laplacetransformen korrekt. Lösningsförslaget har fel givet att det faktiskt är uttrycket i VL (2) som ska inverteras.
D4NIEL skrev:Du har genomfört den inversa Laplacetransformen korrekt. Lösningsförslaget har fel givet att det faktiskt är uttrycket i VL (2) som ska inverteras.
Grymt! Tackar