Laplacian
Uttryck laplacian i termer av koordinatssystemet där
Fick det till , men räknade ut något helt annat. Help me out:(
Så jag behöver inte räkna ut termerna eller hur? Och jag kan betrakta som funktioner av x och y??
Jag gav dig operatorerna och uttryckt i de nya variablerna a och b. Nu kan du göra samma sak för operatorerna och .
Men jag kan inte komma vidare om jag inte förstår varför det blir som det blir. Om möjligt, kan vi utgå från endast och räkna ut ? Då blir det , men jag förstår inte hur vi får faktorn ...
Det är kedjeregeln
.
Du vill uttrycka Laplaceoperatorn i termer av de ny variablerna a och b. Dvs med utnyttjande av operatorerna och .
Vad är problemet?
Jag skrev om koordinatssystemet så att vi har där och är funktioner av och . På så sätt förstår jag att det blir kedjeregeln. Men kan man ens utgå från denna omskrivningen?
Tillägg: 3 nov 2021 00:43
Ja. Vad blir tex i de nya variablerna?
= = …
PATENTERAMERA skrev:Ja. Vad blir tex i de nya variablerna?
= = …
Blir det inte produktregeln nu? Eller kan man kvadrera så som du ställde upp?
Tillägg: 4 nov 2021 22:42
Eller det kanske är samma sak
Jo, utveckla kvardraten och använd produktregeln.
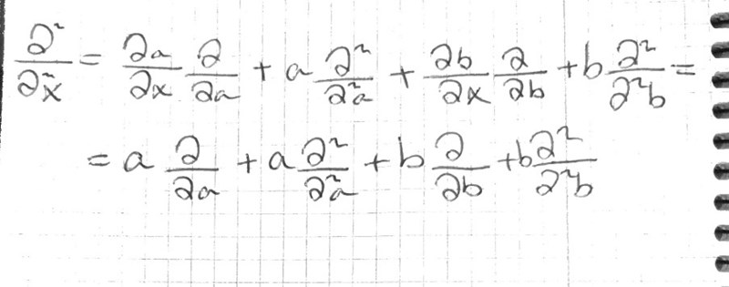
Känns fel... eller?

= = …
PATENTERAMERA skrev:= = …
Ja, precis. Men jag utgick inte från det sättet. Försökte med
Du kan inte byta mot helt plötsligt.
= = …
Soderstrom, det är inte tillåtet att ha fler trådar om samma uppgift så jag låser denna eftersom din andra tråd är mer aktiv. /Dracaena, moderator