Laplacian
Jag repeterar inför omtentan (nästa vecka) och vill kunna denna typ av uppgifter. Jag har löst
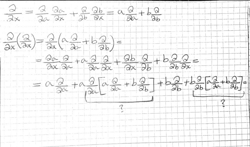
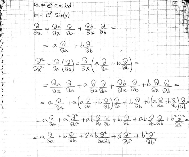
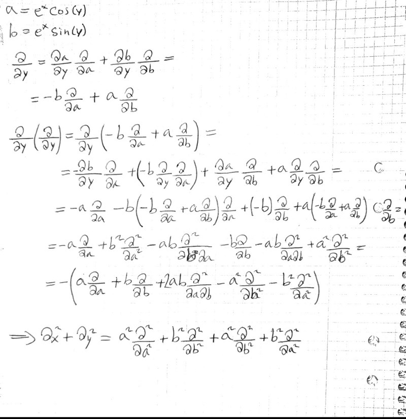
och började sedan med
men vet inte hur jag ska förenkla andra och fjärde termen i sista raden. Och visst kan man inte göra så mycket med första och andra termen?
Uppgiften

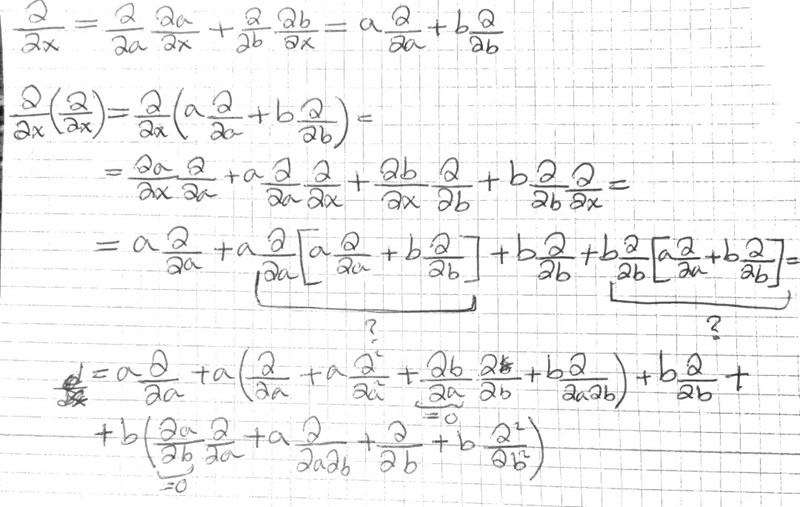
Min lösning

Menar du att
?
Jaha, ja nu ser jag det.
Vad blir då
?
Det blir:
?
Nej, du får väl även en blandad andraderivata?
Vad blir då
?
Så?
Ja, fast db/da kan du förenkla.
Ser inte vad det kan bli! Vet inte ens huur den termen ska tolkas med ord!
Tillägg: 12 dec 2021 15:13
Eller menar du att det blir noll?
Ja, det borde väl bli 0?
Ok! Ser detta rätt ut? (infogar 2 bilder).


Tillägg: 13 dec 2021 12:13
Ehh, BORTSE från sista två raderna. Trodde att ...
Bump :'(
Jag får att
Skulle någon kunna se om det stämmer?
När jag räknade snabbt så fick jag samma sak, förutom en faktor 1 (inte 2) av
och
Sedan får du ta fram
och lägga ihop.
Jag gör nog fel från början när jag räknar
Blir det så:
Eller så:
Och varför?
(Jag skrev bara fallet med a)
Det blir
När du sedan opererar på en funktion f så blir det
I ditt senare fall så skulle du få uttryck av typ
vilket inte blir rätt.
Jag utgick från "den vanliga kedjeregeln" som nedan. Varför är det fel?

Kanske finns det förklarat här.
Om jag har förstått det rätt; jag får att för bara blir;
Stämmer det?
Dessutom: är ?
a och b är två funktioner, så
De blandade andraderivatorna är lika om de är kontinuerliga, se t.ex här.
OK! Då är jag nog med! Mina likheter gäller om och endast om funktionerna och dess derivator är kontinuerliga överallt. Ok!
Till uppgiften: Jag fick att
Hela lösningen

_____________________________________________________
Jag har även räknat på andra delen, dvs , Jag fick den till:
Min lösning på andra delen
Kan det stämma?
Har inte kollat, men om det stämmer så kan du förenkla a2 + b2.
Tillägg: 14 dec 2021 17:12
Fast man kanske hellre vill ha det som a2 + b2
Så eller? Jag har bara faktoriserat.
Det borde stämma. Jag skulle ha faktorisrat.
OK! Hade gärna uppskattat om du kunde bekräfta att uträkningarna stämmer :), jag själv känner att de stämmer.
Jag behärskar ju produktregeln och kedjereglen, det är lite som att dricka vatten för mig :D, men i den här uppgiften hade jag, som du såg, problem med uppställningen av kedjeregeln, då jag trodde att det var som när man har en funktion med en eller flera variabler!
Tack så mycket Dr. G
Soderstrom skrev:Så eller? Jag har bara faktoriserat.
Yes, fick samma sak.