4 svar
636 visningar
lover71d 7 – Fd. Medlem
Postad: 2 maj 2020 23:21 Redigerad: 2 maj 2020 23:24

laserljusets våglängd

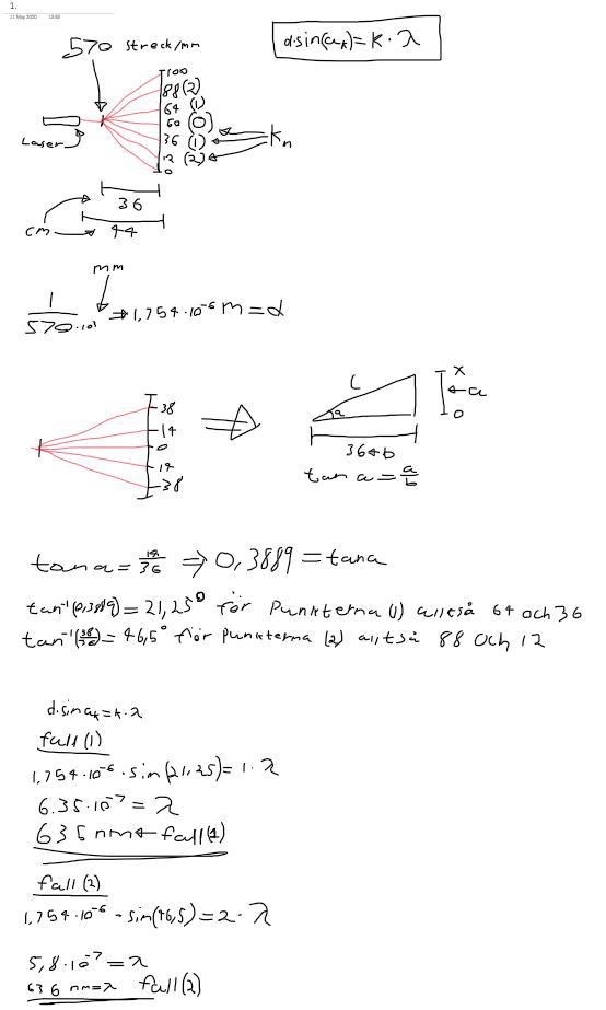
Ljuset från en laser passerar ett gitter med 570 streck/mm. På en meterstav uppkommer ljusfläcka enligt figuren Gör en beräkning av laserljusets våglängd?

Bo-Erik 725 – Fd. Medlem
Postad: 3 maj 2020 09:35

Hur långt har du kommit med uppgiften.

lover71d 7 – Fd. Medlem
Postad: 4 maj 2020 16:58
Bo-Erik skrev:

Hur långt har du kommit med uppgiften.

Vet inte hur ska jag börja ens :( 

Smaragdalena 78892 – Avstängd
Postad: 4 maj 2020 17:35

Leta reda på gitterformeln.

TacoTuesday 1 – Fd. Medlem
Postad: 29 maj 2020 16:15 Redigerad: 29 maj 2020 16:17

Först kan du markera de k värdena som blir av de punkter ljuset kommer till. Se bilden om du inte förstår. Men du följer som sagt d*sin(a)=k*lambda.#cngpoängjakt :)

Svara
Close