3
svar
242
visningar
studentkonstruktion behöver inte mer hjälp
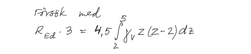
Last på dammlucka
Jag har tänkt moment kring gångjärnet på luckan och får då: Red*3-10*10*8 =0 vilket ger Red= 266.6kN svaret ska vara 270 kN. Men jag har inte fått in arean så tror det är fel :/
Har testat att ta lasten (10*10kN/m^2) delat på 2 eftersom den är triangulär, och sedan använda momentekvation med tyngdpunkten men får inte rätt svar då.
Jättetacksam för hjälp

Tack så mycket!!
Tråden låses. Det är inte tillåtet att skapa fler än en tråd om samma uppgift. Om du fortfarande behöver hjälp så kan du fortsätta att posta i din första tråd istället. /Admin
