Låt f(x) = 5x^2 och förenkla
Hej!
Jag håller på med denna uppgift nedan. Just nu håller jag på med a). Nedan kan du se hur jag har försökt förenkla uttrycket. Mitt svar stämmer inte överens med facit och jag undrar vad jag gör för fel?
Tack på förhand!


f(2) = 5*22 = 5*4 = 20
Sedan kan du heller inte förkorta h:et när du står minus mellan termerna i täljaren
mrpotatohead skrev:f(2) = 5*22 = 5*4 = 20
Jag har ju skrivit det.
karisma skrev:mrpotatohead skrev:f(2) = 5*22 = 5*4 = 20
Jag har ju skrivit det.
Jag tycker du har skrivit att det blir 100, men kanske missuppfattat? :)
mrpotatohead skrev:karisma skrev:mrpotatohead skrev:f(2) = 5*22 = 5*4 = 20
Jag har ju skrivit det.
Jag tycker du har skrivit att det blir 100, men kanske missuppfattat? :)
Trodde du syftade på att jag hade skrivit att 5*22 i parantesen blev 100, för då skrev jag att det blev 20! Men det stämmer det du säger att jag råkat skriva att f(2) även blir 100, missförstod lite vad du menade (:
Jag har ändrat nu så att det bli -20 istället för -100, men jag får ändå fel svar. Mitt svar blir 16h + 4h men det ska bli 20 + 5h.
Skicka din uträkning.
Vi får ju:
mrpotatohead skrev:Skicka din uträkning.
Vi får ju:
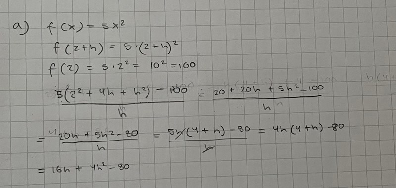
Här är min uträkning! Jag tänke att när man stryker h från täljaren och nämnaren så finns det 4h kvar i täljaren, men antar att det bara finns 5 kvar i täljaren och inget h alls före parantesen.

karisma skrev:mrpotatohead skrev:Skicka din uträkning.
Vi får ju:
Här är min uträkning! Jag tänke att när man stryker h från täljaren och nämnaren så finns det 4h kvar i täljaren, men antar att det bara finns 5 kvar i täljaren och inget h alls före parantesen.
Exakt. Det beror på att 5h är h+h+h+h+h, här går det inte att stryka ett h, utan man kan faktorisera ut h och förkorta bort.