Låta kula rulla ner för pall
Detta är en omskrivning av mitt förra inlägg då jag helt missat att läsa frågan rätt. Här kommer frågan:
Denna uppgift ska du genomföra experimentellt. Ta fram en kula eller en boll. Sätt den på
bordet och rulla iväg bollen så att den rullar utanför bordet och ner på golvet. Mät hur långt
från bordskanten bollen landar. Anteckna bordets höjd. Hur stor hastighet hade bollen när den
lämnade bordet? Bortse från luftmotstånd! EB+K+Ex/ CP/ 0
För högre nivå: Höj bordets ena sida från marken och bestäm vinkeln mellan bordskivan och
marken. Sätt bollen på den upphöjda kanten och låt den rulla iväg. Hur långt bort från bordet
hamnar bollen nu? Mät avståndet och jämför med dina teoretiska värden, de som du har
beräknat. Diskutera eventuella felkällor.
Jag siktar på högre nivån och här är mitt svar:




Det känns som om jag kanske strulat till det lite, måste man ta hänsyn till att kulan rör sig 1,77 m/s i en viss riktning eller inte? Obs. Jag har inte diskuterat felkällor än då jag vill se till att fysiken är rätt först :)
tack på förhand!
gusjoh skrev:
Mät hur långt från bordskanten bollen landar.
Jag ser inte något om att du har gjort det.
Dessutom är inte beräkningen av hastigheten korrekt då kulan lämnar pallen, dvs multiplikationen under rottecknet.
Som du själv tycks befara måste du ta hänsyn till vinkeln α, så att den horisontella hastigheten är v•cos(α).
Pieter Kuiper skrev:gusjoh skrev:
Mät hur långt från bordskanten bollen landar.Jag ser inte något om att du har gjort det.
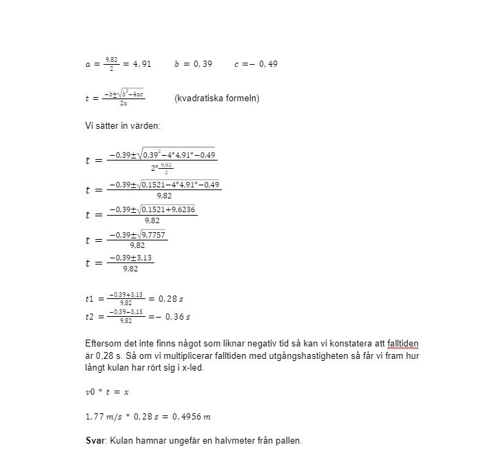
Jag kan skriva upp längden från pallen med Pythagoras sats, men jag vi se till att allt annat är rätt, då jag tycker att utgångs hastigheten och falltiden är klurigt
Jan Ragnar skrev:Dessutom är inte beräkningen av hastigheten korrekt då kulan lämnar pallen, dvs multiplikationen under rottecknet.
Som du själv tycks befara måste du ta hänsyn till vinkeln α, så att den horisontella hastigheten är v•cos(α).
Så hastigheten i x-led blir:
Absolut det fixar jag! tack:)
Justera v0 beräkningen också.
gusjoh skrev:Pieter Kuiper skrev:Jag ser inte något om att du har gjort det.
Jag kan skriva upp längden från pallen med Pythagoras sats, men jag vi se till att allt annat är rätt, då jag tycker att utgångs hastigheten och falltiden är klurigt
Sådana laborationer handlar om att jämföra experimentella resultat med teori.
Det gör du inte. Så du kan nog förvänta dig ett F tror jag.
Pieter Kuiper skrev:gusjoh skrev:Pieter Kuiper skrev:gusjoh skrev:
Mät hur långt från bordskanten bollen landar.Jag ser inte något om att du har gjort det.
Jag kan skriva upp längden från pallen med Pythagoras sats, men jag vi se till att allt annat är rätt, då jag tycker att utgångs hastigheten och falltiden är klurigt
Sådana laborationer handlar om att jämföra experimentella resultat med teori.
Det gör du inte. Så du kan nog förvänta dig ett F tror jag.
Dålig dag? detta är första skrivningen av problemet som jag gjort långt innan inlämning. Det är inte hela laborationen bara den teoretiska biten. Jag vill se till att den teoretiska biten e rätt innan.
gusjoh skrev:
Dålig dag?
Inte alls faktiskt :)
Det var du som skrev om att sikta på högre nivå.
Jag bara tipsar.
Pieter Kuiper skrev:gusjoh skrev:
Dålig dag?Inte alls faktiskt :)
Det var du som skrev om att sikta på högre nivå.
Jag bara tipsar.
okej, jag ska se till att lägga till experiment jämförelser. Men att säga att jag kommer få F va lite elakt :(
Jan Ragnar skrev:Justera v0 beräkningen också.
AAH! jag såg vad problemet var tack att du sa det! :)
När jag skrev måste jag tänkt att det funkade lika som 2(g+h)=2g+2h
Jag har inte kollat vad Jan Ragnar syftade på, men just det där är rätt. 2(gh) = 2gh.
Laguna skrev:Jag har inte kollat vad Jan Ragnar syftade på, men just det där är rätt. 2(gh) = 2gh.
Problemen som jag uppfattade att han menade var att jag först gjort fel med hastigheten under rotteknet .
jag hade skrivit:
vilket inte är rätt, genom den lösningen fick jag fram att hastigheten var 1,77 m/s
det är egentligen:
sedan för att räkna ut hastigheten i x-led då denna hastigheten är snett neråt så måste jag räkna:
eller ?
Det var precis så jag menade.
Jag fick A på uppgiften! tack alla för hjälpen! :)