Latex kod
Eftersom jag är halvobservant, har jag försökt kopiera Guggles kod med lcl och arrays (jag har googlat fram att det var för fina ekvationer som har andrum.

Nånting gick fel, mina ekvation har för mycket andrum:

När du skriver
\begin{array}{lcl}
Så får du först en vänsterjusterad kolumn, sedan en centrerad och sedan en vänsterjusterad.
& betyder att du ska byta kolumn. Du byter kolumn 4 gånger innan du tror att du byter rad med \\.
Jag skulle ta bort alla & och byta ut dem mot
&=&
t.ex
(4 - a)x_1 +2x_2 - x_3 &=& -1 \\
Annars kanske du vill lägga till kolumner, t.ex
\begin{array}{lllll}
Din lösning blir jättebra, jag testar...
I like!

Så varje gång jag vill space-a upp saker, det är bara att lägga &=& innan min tal?
Vissa kanske vill ha x1, x2 etc högerjusterade så att de (och +/-) hamnar fint över varandra. Då får man peta in några extra kolumner och & på lämpliga ställen.
Tack Doktor.
Nu blev det bra! (lite svårt att ha koll på alla dessa left right left center right left right right... left right left...)

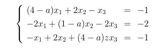
\Large Bestäm antal lösningar för:
\[
\begin{cases}
\begin{array}{llrlrll}
(4-a)x_1 &+&2x_2 &-&x_3 &=&-1\\
-2x_1 &+& (1-a)x_2 &-& 2x_3 &=&-2\\
-x_1 &+& 2x_2 &+& (4-a)x_3 &=&-1
\end{array}
\end{cases}
\]

Hej!
Jag tycker det blir snyggare om ekvationerna konsekvent är högerjusterade.
\[
\begin{cases}
\begin{array}{rrrrrrr}
(4-a)x_{1}&+&2x_{2}&-&x_{3}&=&-1\\
-2x_{1}&+&(1-a)x_{2}&-&2x_{3}&=&-2\\
-x_{1}&+&2x_{2}&+&(4-a)x_{3}&=&-1
\end{array}
\end{cases}
\]
som ger (förhoppningsvis utan Error converting from MathML blah blah)
Error converting from LaTeX to MathML
... det ser ut likadant. Kolla (rrrrrr version är under)
