2
svar
115
visningar
lätt Derivata beräkning
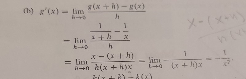
Hej har en derivataberäkning i boken förklarad men det står stilla i hur de förenklat formeln
Hur får de fram det till 1 i täljaren vid det 3dje steget ?

beerger skrev:
Tusen Tack ! Nu såg jag det