LHopitals regel

Facit

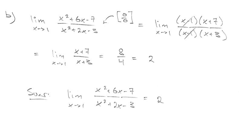
Min lösning:

Är det tillåtet att lösa den här med LHopitals regel?
Kolla om villkoren uppfylls.
Personligen tycker jag det känns lite overkill att dra fram L'Hopitals där, jag menar beräkningen man gjort i facit är ju inte speciellt komplicerad?
Metoden kan vara otillåten även om villkoren är uppfyllda med syftet att man lär sig andra metoden(facits).
Jag kan inte se motiveringrn till att du skulle få poäng för det. Du applicerar det på ett väldigt simpelt gränsvärde. Jsg rekommenderar att du glömmer bort L'hopitals helt och hållet och fokuserar på att träna faktorisering, omskrivning för SGV och maclaurin/Taylor - utveckling när du lär dig det. Du kommer inte lära dig något om du använder L'hopital.
De flesta blir väldigt kära i L'hopitals och använder den överallt, ja, den är kraftig men ska reserveras.Många gränsvärden blir otroligt grisiga och vissa går inte ens lösa då du kommer gå i en cirkel.