LHopitals regler
Hej!
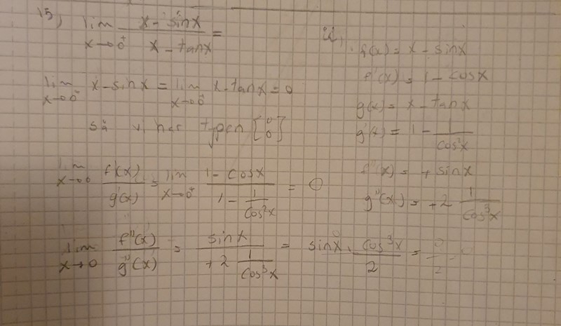
Jag behöver hjälp med den här uppgiften. Man ska räkna gränsvärdet av

Jag räknade gränsvärdet av drivatan och fick det till noll.
Hur går man vidare?? Förstod inte vad de gjorde i facit. Någon som har tydligare lösning än vad facit visar🙃
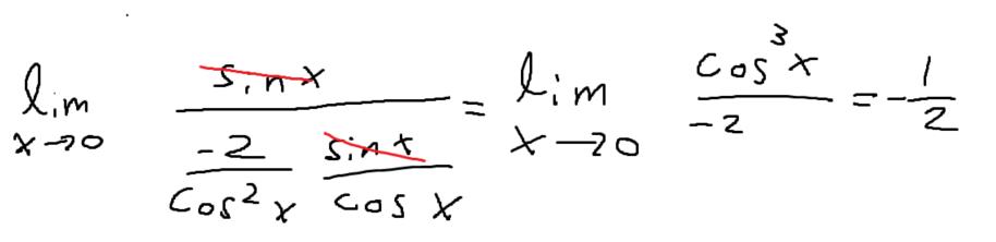
facit;

Det blir fel när du deriverar:
Personligen hade jag nog löst det medelst MacLaurinserier:
tomast80 skrev:Personligen hade jag nog löst det medelst MacLaurinserier:
Hängde inte alls med vad du gjorde.
tomast80 skrev:Det blir fel när du deriverar:
Vah , man deriverar med avseende på x så x- tanx borde bli
Varför skriver du d/dx ??
Hjr fick de fram (cosx)^2 och -1 ??

Facit krånglar till det i onödan. Detta blir rad 3, jag börjar alltså från andra raden.

Var kom sinx ifrån??

Dracaena skrev:
Nej jag förstår förtfarande inte hur du sinx i täljaren i bråket som finns i nämnaren. Har tenta så tacksam om du förtydligar din lösning
Asså jag kan inte hur x fungerar så jag använder bara att derivatan av tanx blir