1
svar
104
visningar
H4MPU5 behöver inte mer hjälp
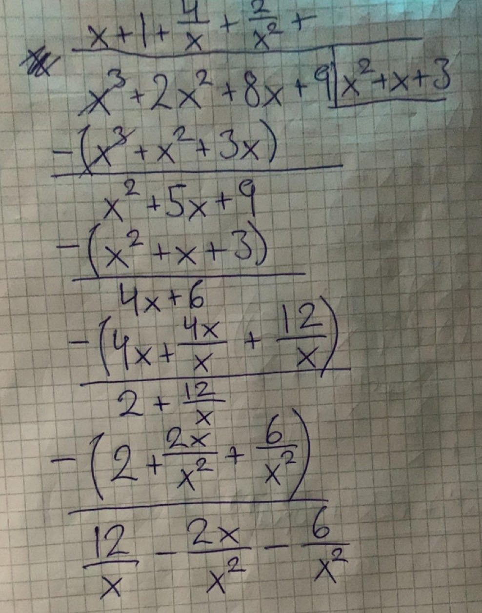
Liggande stolen (men någonstans blir det fel....)

Är jag på rätt väg eller borde jag börja om helt från början?
Och vart är det som det blir fel?
Du har räknat rätt
q(x)=x+1
och
r(x)=4x+6
Längre än så kommer man ej.