Likformighet triangel

kan ngn typ förklara vad man ska göra har prov imorgon
Det går att lösa genom att använda likformighet 2 gånger.
1. Kalla avståndet från träden till muren för m
Kan du skriva ett likformighetsuttryck som har m i sig?
Visa spoiler
Det kommer innehålla 4; 7.2 ; 8 och m (2 gånger)
Beräkna m.
2. Kalla avståndet från träden till riddaren för r
Kan du skriva ett likformighetsuttryck som har r i sig? (det kommer innehålla svaret från 1)
Beräkna r
Sökt avstånd är m-r.
joculator skrev:Det går att lösa genom att använda likformighet 2 gånger.
1. Kalla avståndet från träden till muren för m
Kan du skriva ett likformighetsuttryck som har m i sig?Visa spoiler
Det kommer innehålla 4; 7.2 ; 8 och m (2 gånger)
Beräkna m.2. Kalla avståndet från träden till riddaren för r
Kan du skriva ett likformighetsuttryck som har r i sig? (det kommer innehålla svaret från 1)
Beräkna rSökt avstånd är m-r.
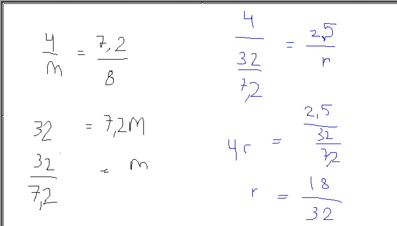
så här?
Tillägg: 14 mar 2022 14:36
tack så mkt för svar men kan ngn kanske visa lösningen helt, har prov om 24 timmar. tack i förhand!
Första likformigheten:
Andra likformigheten:
Kommer du vidare?
---------------------------------
alternativ lösning (som är smidigare och ger samma svar men kan vara svårare att förstå?):
